BookmarkSubscribeRSS Feed
_vichz
Fluorite | Level 6

Hi everyone 😊

 

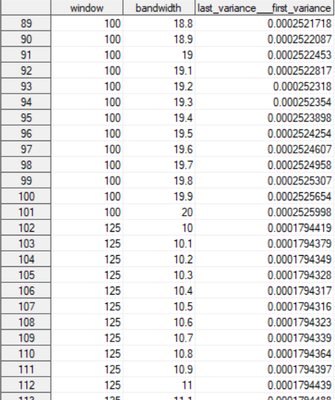
I have a dataset with three columns.

Here is an extract:

_vichz_0-1673994646528.png

For a given line, the value for the third variable was obtained by fixing the first and second variables. The goal is to see how the third variable evolves for different combinations of the first and second variables.

 

I would like to make a graphic (3D or contour plot) where x= window, y=bandwidth and z=last_variance__first_variance, but I don't know how ... Could you please me ? 😅

 

Thank you in advance !

 

 

 

 

 

 

 

3 REPLIES 3
Reeza
Super User

See examples here:

https://support.sas.com/sassamples/graphgallery/PROC_G3D.html

 

Link to code for each graphic is provided via a URL link in the page as well.


@_vichz wrote:

Hi everyone 😊

 

I have a dataset with three columns.

Here is an extract:

_vichz_0-1673994646528.png

For a given line, the value for the third variable was obtained by fixing the first and second variables. The goal is to see how the third variable evolves for different combinations of the first and second variables.

 

I would like to make a graphic (3D or contour plot) where x= window, y=bandwidth and z=last_variance__first_variance, but I don't know how ... Could you please me ? 😅

 

Thank you in advance !

 

 

 

 

 

 

 


 

 

_vichz
Fluorite | Level 6

Thank you very much @Reeza !

sas-innovate-2026-white.png



April 27 – 30 | Gaylord Texan | Grapevine, Texas

Registration is open

Walk in ready to learn. Walk out ready to deliver. This is the data and AI conference you can't afford to miss.
Register now and save with the early bird rate—just $795!

Register now

Tips for filtering data sources in SAS Visual Analytics

See how to use one filter for multiple data sources by mapping your data from SAS’ Alexandria McCall.

Find more tutorials on the SAS Users YouTube channel.

Discussion stats
  • 3 replies
  • 1731 views
  • 1 like
  • 2 in conversation