BookmarkSubscribeRSS Feed
MVras
Calcite | Level 5

Hi everyone,

 

Is it possible to create vertical reference lines on at normal line chart?

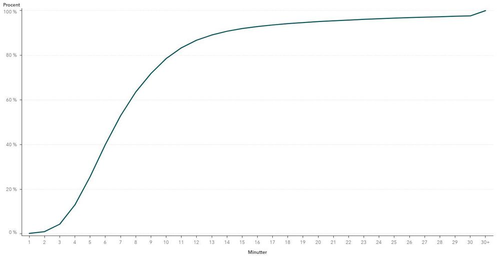
On my chart (below) I want to report on the percentage of 5 minutes, 10 minutes, 13 minutes and 15 minutes and to do that, I'll need vertical reference lines unless there's a smarter way to do t.

 

If possible the best thing would be both a verical and a horizontal line that meets on the graph line for the specific minute.

 

2019-11-22 14_31_23-112_Ambulancetider - SAS® Visual Analytics – Google Chrome.jpg

 

I hope it makes sense.

 

/Martin

2 REPLIES 2
Lucy1
Fluorite | Level 6

Hi Martin

 

In SAS Visual Analytics, if you use the time series object instead of the line chart object you should be able to create vertical and horizontal reference lines.

 

If that doesn't meet your requirements, you can always create a custom graph that will display dynamic reference lines. This is a really good article that describes how, https://communities.sas.com/t5/SAS-Communities-Library/3-steps-to-label-specific-data-points-in-SAS-...

 

Lucy

Pmyosh
Obsidian | Level 7

Hi Martin,

 

If your reference line is static, you can create another variable with the static value and add it in the Data Roles.

This is a manual work around but an easy way.

 

Hope this helps.

 

 

sas-innovate-2026-white.png



April 27 – 30 | Gaylord Texan | Grapevine, Texas

Registration is open

Walk in ready to learn. Walk out ready to deliver. This is the data and AI conference you can't afford to miss.
Register now and save with the early bird rate—just $795!

Register now

Tips for filtering data sources in SAS Visual Analytics

See how to use one filter for multiple data sources by mapping your data from SAS’ Alexandria McCall.

Find more tutorials on the SAS Users YouTube channel.

Discussion stats
  • 2 replies
  • 2695 views
  • 0 likes
  • 3 in conversation