BookmarkSubscribeRSS Feed
☑ This topic is solved. Need further help from the community? Please sign in and ask a new question.
dsam
Fluorite | Level 6

I am not sure how to plot two bars with hash marks on the study 1 portion with color filled verses dash line for the bar between two hash marks. Also need to show numeric data on x axis but show them categorical 

1 ACCEPTED SOLUTION

Accepted Solutions
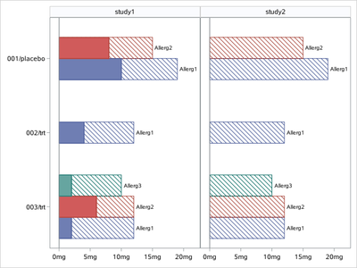
Ksharp
Super User
data have;
input study $ group : $20. value1 value2 sub_group $;
cards;
study1 001/placebo 19 10 Allerg1
study1 001/placebo 15  8 Allerg2
study1 002/trt 12 4 Allerg1
study1 003/trt 12 2 Allerg1
study1 003/trt 12 6 Allerg2
study1 003/trt 10 2 Allerg3
study2 001/placebo 19 . Allerg1
study2 001/placebo 15 . Allerg2
study2 002/trt 12 . Allerg1
study2 003/trt 12 . Allerg1
study2 003/trt 12 . Allerg2
study2 003/trt 10 . Allerg3
;

proc format;
picture fmt
low-high='00009mg';
run;

proc sgpanel data=have noautolegend nocycleattrs;
format value1 value2 fmt.;
panelby study/layout=columnlattice onepanel novarname;
hbarparm category=group response=value1/group=sub_group fillpattern nofill groupdisplay=cluster datalabel=sub_group;
hbarparm category=group response=value2/group=sub_group   groupdisplay=cluster;
colaxis display=(nolabel);
rowaxis display=(nolabel) ;
run;

Ksharp_0-1692441602674.png

 

View solution in original post

23 REPLIES 23
dsam
Fluorite | Level 6
I have attached what i want to achieve in the plot
ballardw
Super User

An example of your data would be nice, best is to provide data as a working data step.

If we have your data then we can tell if something needs to be added or rearranged.

Make sure that it is very clear which variable holds which information. Your picture isn't very clear as to what might be a "treatement". You also seem to be stacking two different variables "var1" and "var2" in a single bar. That indicates that something in your data likely needs to be reshaped so a single variable indicates which "group" of data is from which variable.

 

Sgpanel. Panelby uses a variable to place data into a specific panel. From your hard to see picture because of orientation and size in PDF it looks you should have a variable that has values like "Study 1" and "Study 2". That would be your Panelby variable.

 

Your picture doesn't show anything that looks like a "by Subjid" which I have to guess is some sort of individual identifier. Do you actually have enough values and categories for a single subject to be worth plotting anything?

 

What stat is the bar length supposed to represent? What variable(s) has that information?

dsam
Fluorite | Level 6

please see data below, I need to plot multiple bars per subjects so per fctrt variable. I have made up the data but basically, i need to break the bar with the values in startdosen and first half of the bar solid pattern. sec half will display value until exitdosen and pattern filled but in same colors for both portion of the bar, with lines,

and each color represent in this plot is by fctrt variable.

 

dsam_0-1692421404359.png

dsam_1-1692421465686.png

 

dsam
Fluorite | Level 6

do this dummy data with the plot i am getting help? it is panel by studyn in the plot that i shared that i am getting.

dsam
Fluorite | Level 6
I am also not able to display x axis as character variable even after using proc format ( i need to display 1mg, 3mg, 10mg, 30mg, 100mg, 300mg, 1000mg, 3000mg etc. I have values in numeric as 1, 3, 10, 30, ...3000etc and character variable too please help with this too

ballardw
Super User

Copy the text of your "data step" as text. On the forum open a text box using the </> icon that appears above the message window. Paste the text.

 

It is a good idea to run your data step and see that it will actually run but we can help with that.

If $Subject.  $trt. and $fctrt. are supposed to be either informat or format names you need to include the definition Proc Format code as well. AS TEXT. Pictures don't run as code.

 

Half of your observations are missing Startdosen. So you need provide how a missing value is used to  " break the bar with the values in startdosen". If "half" of the bar is supposed to be a different color/appearance then you need to provide that value.

Ksharp
Super User
data have;
input study $ group : $20. value1 value2 sub_group $;
cards;
study1 001/placebo 19 10 Allerg1
study1 001/placebo 15  8 Allerg2
study1 002/trt 12 4 Allerg1
study1 003/trt 12 2 Allerg1
study1 003/trt 12 6 Allerg2
study1 003/trt 10 2 Allerg3
study2 001/placebo 19 . Allerg1
study2 001/placebo 15 . Allerg2
study2 002/trt 12 . Allerg1
study2 003/trt 12 . Allerg1
study2 003/trt 12 . Allerg2
study2 003/trt 10 . Allerg3
;

proc format;
picture fmt
low-high='00009mg';
run;

proc sgpanel data=have noautolegend nocycleattrs;
format value1 value2 fmt.;
panelby study/layout=columnlattice onepanel novarname;
hbarparm category=group response=value1/group=sub_group fillpattern nofill groupdisplay=cluster datalabel=sub_group;
hbarparm category=group response=value2/group=sub_group   groupdisplay=cluster;
colaxis display=(nolabel);
rowaxis display=(nolabel) ;
run;

Ksharp_0-1692441602674.png

 

dsam
Fluorite | Level 6
This code is very close but because I have large data to display ,bars are very thin in the pic! Also my values on the x axis are not symmetric like you display, I have 1mg, 3mg, 10mg, 30mg,100mg,300mg,1000mg,3000mg,600mg,2000mg,4000mg how should I display at same distance on x axis
Ksharp
Super User

1)I have large data to display ,bars are very thin in the pic! 

You could make graph very high. by ODS GRAPHICS/height= ;

 

2)Also my values on the x axis are not symmetric like you display

You could use UNISCALE= option of PANELBY.

 

data have;
input study $ group : $20. value1 value2 sub_group $;
cards;
study1 001/placebo 19 10 Allerg1
study1 001/placebo 15  8 Allerg2
study1 002/trt 12 4 Allerg1
study1 003/trt 12 2 Allerg1
study1 003/trt 12 6 Allerg2
study1 003/trt 10 2 Allerg3
study2 001/placebo 119 . Allerg1
study2 001/placebo 115 . Allerg2
study2 002/trt 112 . Allerg1
study2 003/trt 112 . Allerg1
study2 003/trt 112 . Allerg2
study2 003/trt 110 . Allerg3
;

proc format;
picture fmt
low-high='00009mg';
run;
ods graphics/height=2000px width=800px;
proc sgpanel data=have noautolegend nocycleattrs pad=0px;
format value1 value2 fmt.;
panelby study/layout=columnlattice onepanel novarname uniscale=row proportional;
hbarparm category=group response=value1/group=sub_group fillpattern nofill groupdisplay=cluster datalabel=sub_group;
hbarparm category=group response=value2/group=sub_group   groupdisplay=cluster;
colaxis display=(nolabel);
rowaxis display=(nolabel) ;
run;

Ksharp_0-1692517210105.png

 

dsam
Fluorite | Level 6
#1 answer worked but for #2, I can fit more values on x axis than before but still missing a few! I increased width to 1500px but no change!how do I fix that?
dsam
Fluorite | Level 6

dsam_0-1692445613226.png

I want to broaden the bars and display x variable display as 1mg, 3mg, 10mg, 30, 100, 300, 600, 1000, 2000, 4000 so the small values with the solid pattern can show, right now it is hard to see

dsam
Fluorite | Level 6
I converted values on x axis to numeric like 1, 2 , 3 , 4 ,5 ,6 , 7, 8, 9 ,10 and assigned proc format for 1mg, 3mg 10mg,,,4000mg but the plot is truncating in both panels and only showing small random part of it! How do I enlarge the plot or fit the plot! Y axis values are very large so it is taking 1/3 of the space!
Ksharp
Super User
/*
Try this updated code
And better to post some real data,
So I can replicate your problem.
*/

%let path= c:\temp ;




data have;
input study $ group : $20. value1 value2 sub_group $;
cards;
study1 001/placebo 119 1 Allerg1
study1 001/placebo 115  8 Allerg2
study1 002/trt 112 4 Allerg1
study1 003/trt 112 2 Allerg1
study1 003/trt 112 6 Allerg2
study1 003/trt 110 2 Allerg3
study2 001/placebo 1129 . Allerg1
study2 001/placebo 1125 . Allerg2
study2 002/trt 1122 . Allerg1
study2 003/trt 1122 . Allerg1
study2 003/trt 1122 . Allerg2
study2 003/trt 1120 . Allerg3
;


proc format;
picture fmt
low-high='00009mg';
run;
options nodate nonumber orientation=portrait;
ods listing gpath="&path." style=htmlblue image_dpi=300;
ods graphics /width=3.5in height=6in reset=index noborder imagename='FAS' outputfmt=png ;
proc sgplot data=have(where=(study='study1')) noautolegend nocycleattrs pad=0px;
title "Study1";
format value1 value2 fmt.;
hbarparm category=group response=value1/group=sub_group fillpattern nofill groupdisplay=cluster datalabel=sub_group ;
hbarparm category=group response=value2/group=sub_group   groupdisplay=cluster ;
xaxis  display=(nolabel) values=(0 to 150 by 50) ;
yaxis display=(nolabel) colorbands=even;
run;

ods graphics /width=3.5in height=6in reset=index noborder imagename='PPS' outputfmt=png;
proc sgplot data=have(where=(study='study2')) noautolegend nocycleattrs pad=0px;
title "Study2";
format value1 value2 fmt.;
hbarparm category=group response=value1/group=sub_group fillpattern nofill groupdisplay=cluster datalabel=sub_group ;
hbarparm category=group response=value2/group=sub_group   groupdisplay=cluster ;
xaxis  display=(nolabel )   values=(0 to 1200 by 300) ;
yaxis display=(nolabel ) colorbands=even ;
run;


ods pdf file="&path.\want.pdf" style=minimal dpi=300 ;
data x;
x=' ';y=' ';output;
run;
title;
proc report data=x nowd noheader style={outputwidth=100% };
column x y;
define x/display style(column)={just=r};
define y/display style(column)={just=l};
compute y;
n+1;
if n=1 then do;
call define('x','style','style={ postimage="&path\FAS1.png"  bordertopcolor=white borderbottomcolor=white borderrightcolor=white borderleftcolor=white}');
call define('y','style','style={ preimage="&path\PPS1.png"  bordertopcolor=white borderbottomcolor=white borderrightcolor=white borderleftcolor=white}');
end;
endcomp;
run;
ods pdf close;

Ksharp_0-1692618135275.png

 

dsam
Fluorite | Level 6
thank you for this but I don't need to show different values on both panels on x axis. I need to show same values on x axis in both panels. My response variables value1 and value2 (in your code) has values like 1, 3, 10, 30, 100, 300, 600, 1000, 2000, 4000 and even after adjusting the width and height orientation X axis is showing values ticks like 3, 30, 300, 1000, 4000 so its skipping one value in between when showing on x axis

sas-innovate-2026-white.png



April 27 – 30 | Gaylord Texan | Grapevine, Texas

Registration is open

Walk in ready to learn. Walk out ready to deliver. This is the data and AI conference you can't afford to miss.
Register now and lock in 2025 pricing—just $495!

Register now

How to Concatenate Values

Learn how use the CAT functions in SAS to join values from multiple variables into a single value.

Find more tutorials on the SAS Users YouTube channel.

SAS Training: Just a Click Away

 Ready to level-up your skills? Choose your own adventure.

Browse our catalog!

Discussion stats
  • 23 replies
  • 7739 views
  • 1 like
  • 3 in conversation