BookmarkSubscribeRSS Feed
🔒 This topic is solved and locked. Need further help from the community? Please sign in and ask a new question.
Charlie
Fluorite | Level 6

I am trying to do probit analysis for 95% confidence Limit and it is my first time to use this procedure.

 

I've got an example in .xls file which is downloaded from https://probitanalysis.wordpress.com/2016/07/07/first-blog-post/.

 

I used codes as following (reference to LD50 calculation for mixture of dose concentrations in community😞

data A;
input dose total dead;
cards;
0.03 10 0
0.10 10 1
0.30 10 5
3.00 10 8
;

proc probit data=A log10 plot=predpplot;
model Dead / Total = dose / d=logistic InverseCL(prob=0.1 to 0.9 by 0.1);
run;

However, the results of 95% Fiducial Limits are different from example and proc probit dose not provide information for curve fitting ( I need to use proc reg?). How can I reproduce the result from the example file?

 

Furthermore, I used the same code for my data;

data B;
input dose total dead;
cards;
0.64 12 9
0.8 12 10
1 12 8
1.25 12 9
1.56 12 9
1.95 12 8
;

proc probit data=B log10 plot=predpplot;
model dead / total = dose / d=logistic  InverseCL(prob=0.1 to 0.9 by 0.1);
run;

The 95% Fiducial Limits didnot estimate in the result and there was no warring from SAS. I am wondering if I could find any suggestion or solution for my data.

 

 

 

 

 

1 ACCEPTED SOLUTION

Accepted Solutions
PGStats
Opal | Level 21

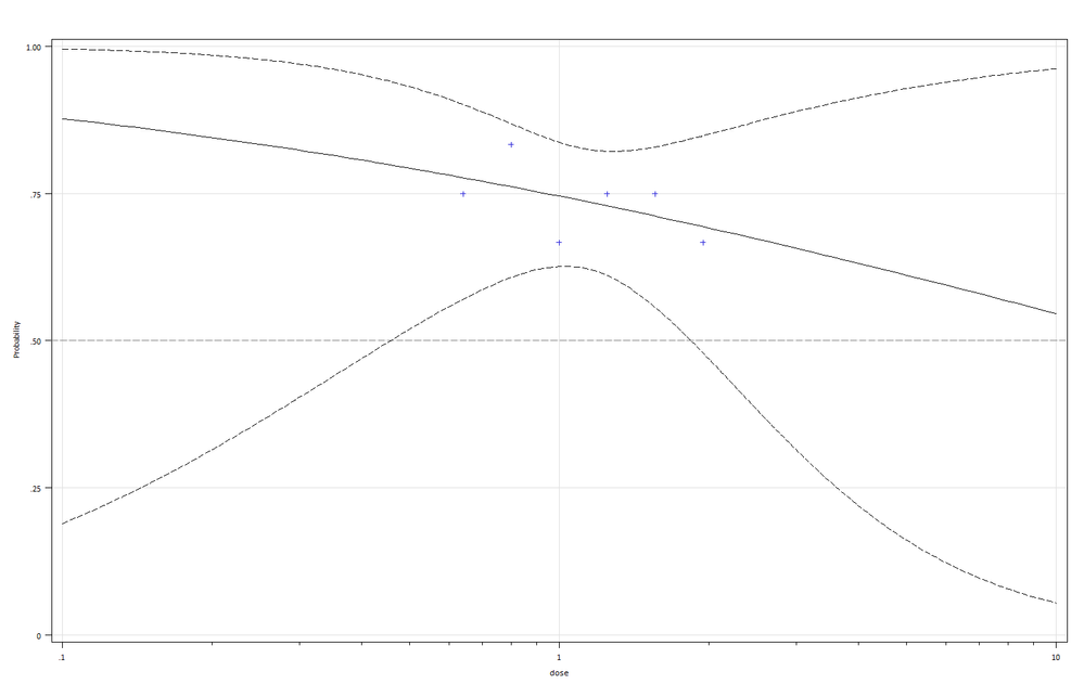
Look at the (traditional graphics) graph produced by :

 

 

data B;
input dose total dead;
cards;
0.64 12 9
0.8 12 10
1 12 8
1.25 12 9
1.56 12 9
1.95 12 8
;

proc probit data=B log10 plot=none;
model dead / total = dose / d=logistic  InverseCL(prob=0.1 to 0.9 by 0.1);
predpplot vref=0.5;
run;

PredPPlot.png

 

LD50 is so far from the data range and the confidence interval so large that they would be meaningless.

 

PG

View solution in original post

2 REPLIES 2
PGStats
Opal | Level 21

Look at the (traditional graphics) graph produced by :

 

 

data B;
input dose total dead;
cards;
0.64 12 9
0.8 12 10
1 12 8
1.25 12 9
1.56 12 9
1.95 12 8
;

proc probit data=B log10 plot=none;
model dead / total = dose / d=logistic  InverseCL(prob=0.1 to 0.9 by 0.1);
predpplot vref=0.5;
run;

PredPPlot.png

 

LD50 is so far from the data range and the confidence interval so large that they would be meaningless.

 

PG
Charlie
Fluorite | Level 6

Hi, PG

 

Thank you for your reply, it really resolves my doubt.

 

 

Charlie

sas-innovate-2026-white.png



April 27 – 30 | Gaylord Texan | Grapevine, Texas

Registration is open

Walk in ready to learn. Walk out ready to deliver. This is the data and AI conference you can't afford to miss.
Register now and save with the early bird rate—just $795!

Register now

What is Bayesian Analysis?

Learn the difference between classical and Bayesian statistical approaches and see a few PROC examples to perform Bayesian analysis in this video.

Find more tutorials on the SAS Users YouTube channel.

SAS Training: Just a Click Away

 Ready to level-up your skills? Choose your own adventure.

Browse our catalog!

Discussion stats
  • 2 replies
  • 4016 views
  • 2 likes
  • 2 in conversation