BookmarkSubscribeRSS Feed
Tiny_Kane
Obsidian | Level 7

Hi there,

 

I have been struggling with this problem for a while.

 

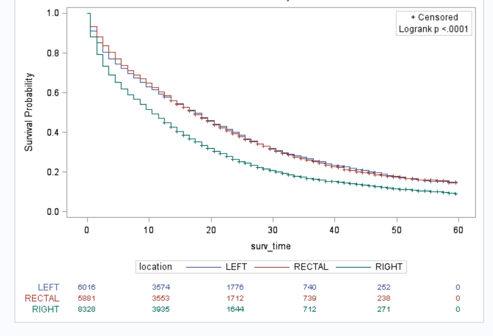
I run the PROC LIFETEST procedure below to get the KM plot. See the plot in the attachement. However, you will find that the time points along the x-axis are 0, 10, 20, 30, 40, 50, and 60. But I want the time interval to be 12, which can made the time points to be 0,12,24,36,48, and 60, so that the time points along x-axis is same as the time points for the number of at risk listing...I tried many options, even trying to revise PROC TEMPLATE. But none of them works......Does any one have resolved similar problem? Thanks in advance.

 

proc lifetest data=master1 intervals= 0 to 60 by 12
                           plots=survival(test atrisk(outside)=0 to 60 by 12);
  by period;
  strata location;
  time surv_time*Censor(0);
run;

 

 


KM example.PNG
11 REPLIES 11
Rick_SAS
SAS Super FREQ

There are about 100 pages of documentation devoted to configuring the KM plot. Try modifying the example in the section "Modifying the axis" to use xOptions instead of yOptions .

Tiny_Kane
Obsidian | Level 7

Hi Rick,

 

SAS gave me error message after I try this macro...see below

138  %ProvideSurvivalMacros
     -
     180
WARNING: Apparent invocation of macro PROVIDESURVIVALMACROS not resolved.
ERROR 180-322: Statement is not valid or it is used out of proper order.
139
140  %let xOptions = label="Survival Time"
141                  linearopts=(viewmin=0 viewmax=60
142                              tickvaluelist=(0 12 24 36 48 60));
143
144  %CompileSurvivalTemplates
WARNING: Apparent invocation of macro COMPILESURVIVALTEMPLATES not resolved.

Reeza
Super User

Here's some old code I had- changed it to months. You can read through the comments and make changes as required.

 

/*SAS PROC LIFETEST Survival Plot Template

Modifed by: F. Khurshed
Date: July 27, 2011

Description: I modified the basic GTL plot to 
1) Changed the thickness of the lines plotted
2) Changed the X axis markers to 12 month intervals
3) Changed the Y axis markers to 0.25 level increments
4) Changed the label of the legend to be a macro variable called legend_label. This needs to be specified prior to output
5) Changed the Y axis markers to be formatted to percent using the tickvalueformat option. (2012-05-01 FK)
*/



*Template appears in log;
proc template;
define statgraph Stat.Lifetest.Graphics.Productlimitsurvival;
   dynamic NStrata xName plotAtRisk plotCensored plotCL plotHW plotEP labelCL labelHW labelEP maxTime method
      StratumID classAtRisk plotBand plotTest GroupName yMin Transparency SecondTitle TestName pValue;

	/*My Macro Variables*/
	mvar legend_label;
   BeginGraph;
      if (NSTRATA=1)
         if (EXISTS(STRATUMID))
         entrytitle "Kaplan-Meier " "Survival Estimate" " for " STRATUMID;
      else
         entrytitle "Kaplan-Meier " "Survival Estimate";
      endif;
      if (PLOTATRISK)
         entrytitle "with Number of Subjects at Risk" / textattrs=GRAPHVALUETEXT;
      endif;
      layout overlay / xaxisopts=(shortlabel=XNAME offsetmin=.05 linearopts=(viewmax=MAXTIME /*Modifying X axis values here, need to change below as well*/ tickvaluelist=(0 12 24 36 48 60 72 84 96 108 120))) yaxisopts=(label=
         "Survival Probability" shortlabel="Survival" linearopts=(viewmin=0 viewmax=1 tickvaluelist=(0 .25 .5 .75
         1.0) tickvalueformat=percent8.1 /*Modifying Y axis values here, need to change below as well*/));

		 /*Add a reference line for the media*/
		 *referenceline y=0.5/lineattrs=(color=red pattern=2);
         if (PLOTHW=1 AND PLOTEP=0)
            bandplot LimitUpper=HW_UCL LimitLower=HW_LCL x=TIME / modelname="Survival" fillattrs=GRAPHCONFIDENCE
            name="HW" legendlabel=LABELHW;
         endif;
         if (PLOTHW=0 AND PLOTEP=1)
            bandplot LimitUpper=EP_UCL LimitLower=EP_LCL x=TIME / modelname="Survival" fillattrs=GRAPHCONFIDENCE
            name="EP" legendlabel=LABELEP;
         endif;
         if (PLOTHW=1 AND PLOTEP=1)
            bandplot LimitUpper=HW_UCL LimitLower=HW_LCL x=TIME / modelname="Survival" fillattrs=GRAPHDATA1
            datatransparency=.55 name="HW" legendlabel=LABELHW;
         bandplot LimitUpper=EP_UCL LimitLower=EP_LCL x=TIME / modelname="Survival" fillattrs=GRAPHDATA2
            datatransparency=.55 name="EP" legendlabel=LABELEP;
         endif;
         if (PLOTCL=1)
            if (PLOTHW=1 OR PLOTEP=1)
            bandplot LimitUpper=SDF_UCL LimitLower=SDF_LCL x=TIME / modelname="Survival" display=(outline)
            outlineattrs=GRAPHPREDICTIONLIMITS name="CL" legendlabel=LABELCL;
         else
            bandplot LimitUpper=SDF_UCL LimitLower=SDF_LCL x=TIME / modelname="Survival" fillattrs=GRAPHCONFIDENCE
            name="CL" legendlabel=LABELCL;
         endif;
         endif;
         stepplot y=SURVIVAL x=TIME / name="Survival" rolename=(_tip1=ATRISK _tip2=EVENT) tip=(y x Time _tip1
            _tip2) legendlabel="Survival" lineattrs=(thickness=2);
         if (PLOTCENSORED=1)
            scatterplot y=CENSORED x=TIME / markerattrs=(symbol=plus size=8px) name="Censored" legendlabel="Censored";
         endif;
         if (PLOTCL=1 OR PLOTHW=1 OR PLOTEP=1)
            discretelegend "Censored" "CL" "HW" "EP" / location=outside halign=center;
         else
            if (PLOTCENSORED=1)
            discretelegend "Censored" / location=inside autoalign=(topright bottomleft);
         endif;
         endif;
         if (PLOTATRISK=1)
            innermargin / align=bottom;
            blockplot x=TATRISK block=ATRISK / repeatedvalues=true display=(values) valuehalign=start
               valuefitpolicy=truncate labelposition=left labelattrs=GRAPHVALUETEXT valueattrs=GRAPHDATATEXT (size
               =7pt) includemissingclass=false ;
         endinnermargin;
         endif;
      endlayout;
      else
         entrytitle "Kaplan-Meier " "Survival Estimates";
      layout overlay / xaxisopts=(shortlabel=XNAME offsetmin=.05 linearopts=(viewmax=MAXTIME tickvaluelist=(0 12 24 36 48 60 72 84 96 108 120) /*Modifying the X values on graph here, need to change above as well*/)) yaxisopts=(label=
         "Survival Probability" shortlabel="Survival" linearopts=(viewmin=0 viewmax=1 tickvaluelist=(0 .25 .5 .75
         1.0) tickvalueformat=percent8.1 /*Modifying the Y Axis values here, need to change above as well*/));

		 /*Add a reference line for the media*/
		 *referenceline y=0.5/lineattrs=(color=red pattern=2);
         if (PLOTHW)
            bandplot LimitUpper=HW_UCL LimitLower=HW_LCL x=TIME / group=STRATUM index=STRATUMNUM modelname=
            "Survival" datatransparency=Transparency;
         endif;
         if (PLOTEP)
            bandplot LimitUpper=EP_UCL LimitLower=EP_LCL x=TIME / group=STRATUM index=STRATUMNUM modelname=
            "Survival" datatransparency=Transparency;
         endif;
         if (PLOTCL)
            if (PLOTBAND)
            bandplot LimitUpper=SDF_UCL LimitLower=SDF_LCL x=TIME / group=STRATUM index=STRATUMNUM modelname=
            "Survival" display=(outline);
         else
            bandplot LimitUpper=SDF_UCL LimitLower=SDF_LCL x=TIME / group=STRATUM index=STRATUMNUM modelname=
            "Survival" datatransparency=Transparency;
         endif;
         endif;
         stepplot y=SURVIVAL x=TIME / group=STRATUM index=STRATUMNUM name="Survival" rolename=(_tip1=ATRISK _tip2=
            EVENT) tip=(y x Time _tip1 _tip2) lineattrs=(thickness=2);
         if (PLOTCENSORED)
            scatterplot y=CENSORED x=TIME / group=STRATUM index=STRATUMNUM markerattrs=(symbol=plus size=8px);
         endif;
         if (PLOTATRISK)
            innermargin / align=bottom;
            blockplot x=TATRISK block=ATRISK / class=STRATUM repeatedvalues=true display=(label values)
               valuehalign=start valuefitpolicy=truncate labelposition=left labelattrs=STRATUMID valueattrs=
               GRAPHDATATEXT (size=7pt) includemissingclass=false;
         endinnermargin;
         endif;
         DiscreteLegend "Survival" / title=legend_label location=outside;
         if (PLOTCENSORED)
            if (PLOTTEST)
            layout gridded / rows=2 autoalign=(TOPRIGHT BOTTOMLEFT TOP BOTTOM) border=false BackgroundColor=
            GraphWalls:Color Opaque=true;
            entry "+ Censored";
            if (PVALUE < .0001)
               entry TESTNAME " p " eval (PUT(PVALUE, PVALUE6.4));
            else
               entry TESTNAME " p=" eval (PUT(PVALUE, PVALUE6.4));
            endif;
         endlayout;
         else
            layout gridded / rows=1 autoalign=(TOPRIGHT BOTTOMLEFT TOP BOTTOM) border=false BackgroundColor=
            GraphWalls:Color Opaque=true;
            entry "+ Censored";
         endlayout;
         endif;
         else
            if (PLOTTEST)
            layout gridded / rows=1 autoalign=(TOPRIGHT BOTTOMLEFT TOP BOTTOM) border=false BackgroundColor=
            GraphWalls:Color Opaque=true;
            if (PVALUE < .0001)
               entry TESTNAME " p " eval (PUT(PVALUE, PVALUE6.4));
            else
               entry TESTNAME " p=" eval (PUT(PVALUE, PVALUE6.4));
            endif;
         endlayout;
         endif;
         endif;
      endlayout;
      endif;
   EndGraph;
end;
run;

https://gist.github.com/statgeek/4f8ccc4ee603b41371e5

 

 

Tiny_Kane
Obsidian | Level 7

Hi Reeza,

 

Thanks for sharing. However, this still does not work...It is very very weird that PROC TEMPLATE does not work the plot on my end...

 

 

Reeza
Super User

What version of SAS are you running?

 

Post your code and log.

Tiny_Kane
Obsidian | Level 7

Hi Reeza,

 

I am using SAS 9.3. See the code in log. Thanks!

101  proc template;
102  define statgraph Stat.Lifetest.Graphics.Productlimitsurvival;
103     dynamic NStrata xName plotAtRisk plotCensored plotCL plotHW plotEP labelCL labelHW labelEP
103!  maxTime method
104        StratumID classAtRisk plotBand plotTest GroupName yMin Transparency SecondTitle
104! TestName pValue;
105
106      /*My Macro Variables*/
107      mvar legend_label;
108     BeginGraph;
109        if (NSTRATA=1)
110           if (EXISTS(STRATUMID))
111           entrytitle "Kaplan-Meier " "Survival Estimate" " for " STRATUMID;
112        else
113           entrytitle "Kaplan-Meier " "Survival Estimate";
114        endif;
115        if (PLOTATRISK)
116           entrytitle "with Number of Subjects at Risk" / textattrs=GRAPHVALUETEXT;
117        endif;
118        layout overlay / xaxisopts=(shortlabel=XNAME offsetmin=.05 linearopts=(viewmax=MAXTIME
118! /*Modifying X axis values here, need to change below as well*/ tickvaluelist=(0 12 24 36 48
118! 60 72 84 96 108 120))) yaxisopts=(label=
119           "Survival Probability" shortlabel="Survival" linearopts=(viewmin=0 viewmax=1
119! tickvaluelist=(0 .25 .5 .75
120           1.0) tickvalueformat=percent8.1 /*Modifying Y axis values here, need to change below
120!  as well*/));
121
122           /*Add a reference line for the media*/
123           *referenceline y=0.5/lineattrs=(color=red pattern=2);
124           if (PLOTHW=1 AND PLOTEP=0)
125              bandplot LimitUpper=HW_UCL LimitLower=HW_LCL x=TIME / modelname="Survival"
125! fillattrs=GRAPHCONFIDENCE
126              name="HW" legendlabel=LABELHW;
127           endif;
128           if (PLOTHW=0 AND PLOTEP=1)
129              bandplot LimitUpper=EP_UCL LimitLower=EP_LCL x=TIME / modelname="Survival"
129! fillattrs=GRAPHCONFIDENCE
130              name="EP" legendlabel=LABELEP;
131           endif;
132           if (PLOTHW=1 AND PLOTEP=1)
133              bandplot LimitUpper=HW_UCL LimitLower=HW_LCL x=TIME / modelname="Survival"
133! fillattrs=GRAPHDATA1
134              datatransparency=.55 name="HW" legendlabel=LABELHW;
135           bandplot LimitUpper=EP_UCL LimitLower=EP_LCL x=TIME / modelname="Survival"
135! fillattrs=GRAPHDATA2
136              datatransparency=.55 name="EP" legendlabel=LABELEP;
137           endif;
138           if (PLOTCL=1)
139              if (PLOTHW=1 OR PLOTEP=1)
140              bandplot LimitUpper=SDF_UCL LimitLower=SDF_LCL x=TIME / modelname="Survival"
140! display=(outline)
141              outlineattrs=GRAPHPREDICTIONLIMITS name="CL" legendlabel=LABELCL;
142           else
143              bandplot LimitUpper=SDF_UCL LimitLower=SDF_LCL x=TIME / modelname="Survival"
143! fillattrs=GRAPHCONFIDENCE
144              name="CL" legendlabel=LABELCL;
145           endif;
146           endif;
147           stepplot y=SURVIVAL x=TIME / name="Survival" rolename=(_tip1=ATRISK _tip2=EVENT)
147! tip=(y x Time _tip1
148              _tip2) legendlabel="Survival" lineattrs=(thickness=2);
149           if (PLOTCENSORED=1)
150              scatterplot y=CENSORED x=TIME / markerattrs=(symbol=plus size=8px)
150! name="Censored" legendlabel="Censored";
151           endif;
152           if (PLOTCL=1 OR PLOTHW=1 OR PLOTEP=1)
153              discretelegend "Censored" "CL" "HW" "EP" / location=outside halign=center;
154           else
155              if (PLOTCENSORED=1)
156              discretelegend "Censored" / location=inside autoalign=(topright bottomleft);
157           endif;
158           endif;
159           if (PLOTATRISK=1)
160              innermargin / align=bottom;
161              blockplot x=TATRISK block=ATRISK / repeatedvalues=true display=(values)
161! valuehalign=start
162                 valuefitpolicy=truncate labelposition=left labelattrs=GRAPHVALUETEXT
162! valueattrs=GRAPHDATATEXT (size
163                 =7pt) includemissingclass=false ;
164           endinnermargin;
165           endif;
166        endlayout;
167        else
168           entrytitle "Kaplan-Meier " "Survival Estimates";
169        layout overlay / xaxisopts=(shortlabel=XNAME offsetmin=.05 linearopts=(viewmax=MAXTIME
169! tickvaluelist=(0 12 24 36 48 60 72 84 96 108 120) /*Modifying the X values on graph here,
169! need to change above as well*/)) yaxisopts=(label=
170           "Survival Probability" shortlabel="Survival" linearopts=(viewmin=0 viewmax=1
170! tickvaluelist=(0 .25 .5 .75
171           1.0) tickvalueformat=percent8.1 /*Modifying the Y Axis values here, need to change
171! above as well*/));
172
173           /*Add a reference line for the media*/
174           *referenceline y=0.5/lineattrs=(color=red pattern=2);
175           if (PLOTHW)
176              bandplot LimitUpper=HW_UCL LimitLower=HW_LCL x=TIME / group=STRATUM
176! index=STRATUMNUM modelname=
177              "Survival" datatransparency=Transparency;
178           endif;
179           if (PLOTEP)
180              bandplot LimitUpper=EP_UCL LimitLower=EP_LCL x=TIME / group=STRATUM
180! index=STRATUMNUM modelname=
181              "Survival" datatransparency=Transparency;
182           endif;
183           if (PLOTCL)
184              if (PLOTBAND)
185              bandplot LimitUpper=SDF_UCL LimitLower=SDF_LCL x=TIME / group=STRATUM
185! index=STRATUMNUM modelname=
186              "Survival" display=(outline);
187           else
188              bandplot LimitUpper=SDF_UCL LimitLower=SDF_LCL x=TIME / group=STRATUM
188! index=STRATUMNUM modelname=
189              "Survival" datatransparency=Transparency;
190           endif;
191           endif;
192           stepplot y=SURVIVAL x=TIME / group=STRATUM index=STRATUMNUM name="Survival"
192! rolename=(_tip1=ATRISK _tip2=
193              EVENT) tip=(y x Time _tip1 _tip2) lineattrs=(thickness=2);
194           if (PLOTCENSORED)
195              scatterplot y=CENSORED x=TIME / group=STRATUM index=STRATUMNUM
195! markerattrs=(symbol=plus size=8px);
196           endif;
197           if (PLOTATRISK)
198              innermargin / align=bottom;
199              blockplot x=TATRISK block=ATRISK / class=STRATUM repeatedvalues=true
199! display=(label values)
200                 valuehalign=start valuefitpolicy=truncate labelposition=left
200! labelattrs=STRATUMID valueattrs=
201                 GRAPHDATATEXT (size=7pt) includemissingclass=false;
202           endinnermargin;
203           endif;
204           DiscreteLegend "Survival" / title=legend_label location=outside;
205           if (PLOTCENSORED)
206              if (PLOTTEST)
207              layout gridded / rows=2 autoalign=(TOPRIGHT BOTTOMLEFT TOP BOTTOM) border=false
207! BackgroundColor=
208              GraphWalls:Color Opaque=true;
209              entry "+ Censored";
210              if (PVALUE < .0001)
211                 entry TESTNAME " p " eval (PUT(PVALUE, PVALUE6.4));
212              else
213                 entry TESTNAME " p=" eval (PUT(PVALUE, PVALUE6.4));
214              endif;
215           endlayout;
216           else
217              layout gridded / rows=1 autoalign=(TOPRIGHT BOTTOMLEFT TOP BOTTOM) border=false
217! BackgroundColor=
218              GraphWalls:Color Opaque=true;
219              entry "+ Censored";
220           endlayout;
221           endif;
222           else
223              if (PLOTTEST)
224              layout gridded / rows=1 autoalign=(TOPRIGHT BOTTOMLEFT TOP BOTTOM) border=false
224! BackgroundColor=
225              GraphWalls:Color Opaque=true;
226              if (PVALUE < .0001)
227                 entry TESTNAME " p " eval (PUT(PVALUE, PVALUE6.4));
228              else
229                 entry TESTNAME " p=" eval (PUT(PVALUE, PVALUE6.4));
230              endif;
231           endlayout;
232           endif;
233           endif;
234        endlayout;
235        endif;
236     EndGraph;
237  end;
NOTE: Overwriting existing template/link: Stat.Lifetest.Graphics.Productlimitsurvival
NOTE: STATGRAPH 'Stat.Lifetest.Graphics.Productlimitsurvival' has been saved to: SASUSER.TEMPLAT
238  run;
NOTE: PROCEDURE TEMPLATE used (Total process time):
      real time           0.09 seconds
      cpu time            0.09 seconds


239  proc lifetest data=master1 intervals= 0 to 60 by 12
240                             plots=survival(test atrisk(outside)=0 to 60 by 12);
241    by period;
242    strata location;
243    time surv_time*Censor(0);
244  run;

NOTE: The LOGLOG transform is used to compute the confidence limits for the quartiles of the
      survivor distribution. To suppress using this transform, specify CONFTYPE=LINEAR in the
      PROC LIFETEST statement.
NOTE: PROCEDURE LIFETEST used (Total process time):
      real time           1.85 seconds
      cpu time            0.85 seconds

Reeza
Super User

Verify which template your graph is using - remove the atrisk and test statements, leaving survival alone and see if that works. Based on your specifications, it may be using a different template.

 

Use

 

ODS TRACE ON;

code

 

ODS TRACE OFF;

Tiny_Kane
Obsidian | Level 7

Hi Reeza,

 

You are right, my template name is Stat.Lifetest.Graphics.Productlimitsurvival2. After I updated the name, the code works. But now, the list of number at risk is within the plot..See the attachement. If I want it to be outside of the plot, like below the x-axis, could you mind telling me from which line of your code that I can start to revise. Thank you very much!

 

 


KM example2.PNG
tbn1
Calcite | Level 5

@ @ Tiny_Kane Is there a way to modify this macro for doing CIF plot using proc phreg?


@Tiny_Kane wrote:

Hi Reeza,

 

I am using SAS 9.3. See the code in log. Thanks!

101  proc template;
102  define statgraph Stat.Lifetest.Graphics.Productlimitsurvival;
103     dynamic NStrata xName plotAtRisk plotCensored plotCL plotHW plotEP labelCL labelHW labelEP
103!  maxTime method
104        StratumID classAtRisk plotBand plotTest GroupName yMin Transparency SecondTitle
104! TestName pValue;
105
106      /*My Macro Variables*/
107      mvar legend_label;
108     BeginGraph;
109        if (NSTRATA=1)
110           if (EXISTS(STRATUMID))
111           entrytitle "Kaplan-Meier " "Survival Estimate" " for " STRATUMID;
112        else
113           entrytitle "Kaplan-Meier " "Survival Estimate";
114        endif;
115        if (PLOTATRISK)
116           entrytitle "with Number of Subjects at Risk" / textattrs=GRAPHVALUETEXT;
117        endif;
118        layout overlay / xaxisopts=(shortlabel=XNAME offsetmin=.05 linearopts=(viewmax=MAXTIME
118! /*Modifying X axis values here, need to change below as well*/ tickvaluelist=(0 12 24 36 48
118! 60 72 84 96 108 120))) yaxisopts=(label=
119           "Survival Probability" shortlabel="Survival" linearopts=(viewmin=0 viewmax=1
119! tickvaluelist=(0 .25 .5 .75
120           1.0) tickvalueformat=percent8.1 /*Modifying Y axis values here, need to change below
120!  as well*/));
121
122           /*Add a reference line for the media*/
123           *referenceline y=0.5/lineattrs=(color=red pattern=2);
124           if (PLOTHW=1 AND PLOTEP=0)
125              bandplot LimitUpper=HW_UCL LimitLower=HW_LCL x=TIME / modelname="Survival"
125! fillattrs=GRAPHCONFIDENCE
126              name="HW" legendlabel=LABELHW;
127           endif;
128           if (PLOTHW=0 AND PLOTEP=1)
129              bandplot LimitUpper=EP_UCL LimitLower=EP_LCL x=TIME / modelname="Survival"
129! fillattrs=GRAPHCONFIDENCE
130              name="EP" legendlabel=LABELEP;
131           endif;
132           if (PLOTHW=1 AND PLOTEP=1)
133              bandplot LimitUpper=HW_UCL LimitLower=HW_LCL x=TIME / modelname="Survival"
133! fillattrs=GRAPHDATA1
134              datatransparency=.55 name="HW" legendlabel=LABELHW;
135           bandplot LimitUpper=EP_UCL LimitLower=EP_LCL x=TIME / modelname="Survival"
135! fillattrs=GRAPHDATA2
136              datatransparency=.55 name="EP" legendlabel=LABELEP;
137           endif;
138           if (PLOTCL=1)
139              if (PLOTHW=1 OR PLOTEP=1)
140              bandplot LimitUpper=SDF_UCL LimitLower=SDF_LCL x=TIME / modelname="Survival"
140! display=(outline)
141              outlineattrs=GRAPHPREDICTIONLIMITS name="CL" legendlabel=LABELCL;
142           else
143              bandplot LimitUpper=SDF_UCL LimitLower=SDF_LCL x=TIME / modelname="Survival"
143! fillattrs=GRAPHCONFIDENCE
144              name="CL" legendlabel=LABELCL;
145           endif;
146           endif;
147           stepplot y=SURVIVAL x=TIME / name="Survival" rolename=(_tip1=ATRISK _tip2=EVENT)
147! tip=(y x Time _tip1
148              _tip2) legendlabel="Survival" lineattrs=(thickness=2);
149           if (PLOTCENSORED=1)
150              scatterplot y=CENSORED x=TIME / markerattrs=(symbol=plus size=8px)
150! name="Censored" legendlabel="Censored";
151           endif;
152           if (PLOTCL=1 OR PLOTHW=1 OR PLOTEP=1)
153              discretelegend "Censored" "CL" "HW" "EP" / location=outside halign=center;
154           else
155              if (PLOTCENSORED=1)
156              discretelegend "Censored" / location=inside autoalign=(topright bottomleft);
157           endif;
158           endif;
159           if (PLOTATRISK=1)
160              innermargin / align=bottom;
161              blockplot x=TATRISK block=ATRISK / repeatedvalues=true display=(values)
161! valuehalign=start
162                 valuefitpolicy=truncate labelposition=left labelattrs=GRAPHVALUETEXT
162! valueattrs=GRAPHDATATEXT (size
163                 =7pt) includemissingclass=false ;
164           endinnermargin;
165           endif;
166        endlayout;
167        else
168           entrytitle "Kaplan-Meier " "Survival Estimates";
169        layout overlay / xaxisopts=(shortlabel=XNAME offsetmin=.05 linearopts=(viewmax=MAXTIME
169! tickvaluelist=(0 12 24 36 48 60 72 84 96 108 120) /*Modifying the X values on graph here,
169! need to change above as well*/)) yaxisopts=(label=
170           "Survival Probability" shortlabel="Survival" linearopts=(viewmin=0 viewmax=1
170! tickvaluelist=(0 .25 .5 .75
171           1.0) tickvalueformat=percent8.1 /*Modifying the Y Axis values here, need to change
171! above as well*/));
172
173           /*Add a reference line for the media*/
174           *referenceline y=0.5/lineattrs=(color=red pattern=2);
175           if (PLOTHW)
176              bandplot LimitUpper=HW_UCL LimitLower=HW_LCL x=TIME / group=STRATUM
176! index=STRATUMNUM modelname=
177              "Survival" datatransparency=Transparency;
178           endif;
179           if (PLOTEP)
180              bandplot LimitUpper=EP_UCL LimitLower=EP_LCL x=TIME / group=STRATUM
180! index=STRATUMNUM modelname=
181              "Survival" datatransparency=Transparency;
182           endif;
183           if (PLOTCL)
184              if (PLOTBAND)
185              bandplot LimitUpper=SDF_UCL LimitLower=SDF_LCL x=TIME / group=STRATUM
185! index=STRATUMNUM modelname=
186              "Survival" display=(outline);
187           else
188              bandplot LimitUpper=SDF_UCL LimitLower=SDF_LCL x=TIME / group=STRATUM
188! index=STRATUMNUM modelname=
189              "Survival" datatransparency=Transparency;
190           endif;
191           endif;
192           stepplot y=SURVIVAL x=TIME / group=STRATUM index=STRATUMNUM name="Survival"
192! rolename=(_tip1=ATRISK _tip2=
193              EVENT) tip=(y x Time _tip1 _tip2) lineattrs=(thickness=2);
194           if (PLOTCENSORED)
195              scatterplot y=CENSORED x=TIME / group=STRATUM index=STRATUMNUM
195! markerattrs=(symbol=plus size=8px);
196           endif;
197           if (PLOTATRISK)
198              innermargin / align=bottom;
199              blockplot x=TATRISK block=ATRISK / class=STRATUM repeatedvalues=true
199! display=(label values)
200                 valuehalign=start valuefitpolicy=truncate labelposition=left
200! labelattrs=STRATUMID valueattrs=
201                 GRAPHDATATEXT (size=7pt) includemissingclass=false;
202           endinnermargin;
203           endif;
204           DiscreteLegend "Survival" / title=legend_label location=outside;
205           if (PLOTCENSORED)
206              if (PLOTTEST)
207              layout gridded / rows=2 autoalign=(TOPRIGHT BOTTOMLEFT TOP BOTTOM) border=false
207! BackgroundColor=
208              GraphWalls:Color Opaque=true;
209              entry "+ Censored";
210              if (PVALUE < .0001)
211                 entry TESTNAME " p " eval (PUT(PVALUE, PVALUE6.4));
212              else
213                 entry TESTNAME " p=" eval (PUT(PVALUE, PVALUE6.4));
214              endif;
215           endlayout;
216           else
217              layout gridded / rows=1 autoalign=(TOPRIGHT BOTTOMLEFT TOP BOTTOM) border=false
217! BackgroundColor=
218              GraphWalls:Color Opaque=true;
219              entry "+ Censored";
220           endlayout;
221           endif;
222           else
223              if (PLOTTEST)
224              layout gridded / rows=1 autoalign=(TOPRIGHT BOTTOMLEFT TOP BOTTOM) border=false
224! BackgroundColor=
225              GraphWalls:Color Opaque=true;
226              if (PVALUE < .0001)
227                 entry TESTNAME " p " eval (PUT(PVALUE, PVALUE6.4));
228              else
229                 entry TESTNAME " p=" eval (PUT(PVALUE, PVALUE6.4));
230              endif;
231           endlayout;
232           endif;
233           endif;
234        endlayout;
235        endif;
236     EndGraph;
237  end;
NOTE: Overwriting existing template/link: Stat.Lifetest.Graphics.Productlimitsurvival
NOTE: STATGRAPH 'Stat.Lifetest.Graphics.Productlimitsurvival' has been saved to: SASUSER.TEMPLAT
238  run;
NOTE: PROCEDURE TEMPLATE used (Total process time):
      real time           0.09 seconds
      cpu time            0.09 seconds


239  proc lifetest data=master1 intervals= 0 to 60 by 12
240                             plots=survival(test atrisk(outside)=0 to 60 by 12);
241    by period;
242    strata location;
243    time surv_time*Censor(0);
244  run;

NOTE: The LOGLOG transform is used to compute the confidence limits for the quartiles of the
      survivor distribution. To suppress using this transform, specify CONFTYPE=LINEAR in the
      PROC LIFETEST statement.
NOTE: PROCEDURE LIFETEST used (Total process time):
      real time           1.85 seconds
      cpu time            0.85 seconds


 

tbn1
Calcite | Level 5

 @ Reeza Is there a way to modify this macro for doing CIF plot using proc phreg or proc lifetest? I used this code successfully to reformat the X axis for my survival curve but am now trying to change it for CIF

Rick_SAS
SAS Super FREQ

Yes. You need to read the documentation, which includes instructions on how to download and use the macros.

sas-innovate-2026-white.png



April 27 – 30 | Gaylord Texan | Grapevine, Texas

Registration is open

Walk in ready to learn. Walk out ready to deliver. This is the data and AI conference you can't afford to miss.
Register now and save with the early bird rate—just $795!

Register now

How to Concatenate Values

Learn how use the CAT functions in SAS to join values from multiple variables into a single value.

Find more tutorials on the SAS Users YouTube channel.

SAS Training: Just a Click Away

 Ready to level-up your skills? Choose your own adventure.

Browse our catalog!

Discussion stats
  • 11 replies
  • 13659 views
  • 0 likes
  • 4 in conversation