BookmarkSubscribeRSS Feed
Crubal
Quartz | Level 8

Hi,

 

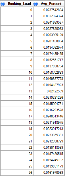
I have a data set named A including two columns: 

 

Dataset.PNG

Dataset2.PNG

 

I wuld like to draw histogram which reflects 'Booking_Lead' and its corresponding 'Avg_Percent'. Besides, I would like to draw a 90% quantile that starting from the largest 'Booking_Lead', and in this example, it is between 0 and 1, but near 1. And output the result called Table B. 

 

I have tried the following: 

 

ods graphics off;

proc univariate data=A noprint;
var Booking_Lead;
histogram Booking_Lead /BARLABEL=percent STATREF=P 90 STATREFLABEL="90th Pctl";
output out=B p90=p90pct;
run;

 

But this is not correct, How could I change the code, please?

 

Thank you! 

3 REPLIES 3
Rick_SAS
SAS Super FREQ

It looks like your data is a summarization of the raw data. Does the avg_percent column sum to 1? Do you have the raw data?  If so, please post as a DATA step, not as an image file. 

 

If you don't have the raw data, then compute the cumulative proportions by summing the avg_percent column:

data want;

set A;

cum_percent + avg_percent;

run;

 

The first observation for which cum_percent >= 0.9 is an estimate of the 90th percentile.

 

Crubal
Quartz | Level 8

Hi Rick,

 

Thank you!  The 'Avg_Percent' column sum to 1. And my prior code to obtain this data is as below:

 

Proc Sql;
Create Table Work.A
as select distinct
Operating_Div_CD,
Chain_Cd,
LOC_ID,
Booking_Lead,
avg(Percentage) as Avg_Percent
from Work.A_1
group by 1, 2, 3, 4
order by 4 desc;
Quit;

 

And I figured out the corresponding 'Booking_Lead' versus 90% quantile from your hint. 

 

Thank you 

 

Rick_SAS
SAS Super FREQ

The simpler way is to use 

proc histogram data=A_1;

histogram Percentage;

etc.

sas-innovate-2026-white.png



April 27 – 30 | Gaylord Texan | Grapevine, Texas

Registration is open

Walk in ready to learn. Walk out ready to deliver. This is the data and AI conference you can't afford to miss.
Register now and lock in 2025 pricing—just $495!

Register now

How to Concatenate Values

Learn how use the CAT functions in SAS to join values from multiple variables into a single value.

Find more tutorials on the SAS Users YouTube channel.

SAS Training: Just a Click Away

 Ready to level-up your skills? Choose your own adventure.

Browse our catalog!

Discussion stats
  • 3 replies
  • 2153 views
  • 1 like
  • 2 in conversation