BookmarkSubscribeRSS Feed
☑ This topic is solved. Need further help from the community? Please sign in and ask a new question.
bhr-q
Pyrite | Level 9

Hello,

I have three variables (columns), and I was asked to create box plots for all three variables in the same figure. I used the below code, but due to the large differences in the ranges of these three variables, the box plots for var1 and var3 are not clear.

 

data long;
    set have;
    Variable = "Var1"; Value = Var1; output;
    Variable = "Var2"; Value = Var2; output;
    Variable = "Var3"; Value = Var3; output;
    drop Var1 Var2 Var3;
run;
proc sgplot data=long noborder;
    vbox Value / category=Variable;
run;

bhrq_0-1736275642770.png

Could you please help me how to fix that?

Thank you,

1 ACCEPTED SOLUTION

Accepted Solutions
BrunoMueller
SAS Super FREQ

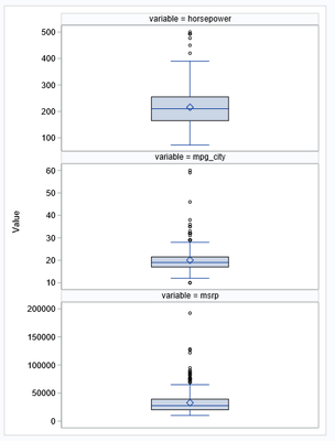
You could use proc SGPANEL and have the the box plots as rows. See this example:

data long;
  set sashelp.cars;
  length variable $ 32;
  Variable = "msrp"; Value = msrp; output;
  Variable = "horsepower"; Value = horsepower; output;
  Variable = "mpg_city"; Value = mpg_city; output;
  keep variable value;
run;

proc sgpanel data=long ;
  panelby variable / uniscale=column columns=1 ;
  vbox value;
run;

Which will create this:

BrunoMueller_0-1736335202372.png

 

 

View solution in original post

3 REPLIES 3
PaigeMiller
Diamond | Level 26

In general the solution to having disparate scales is to change the scale of the Y axis. One was to do this is to use a logarithmic scale. This will fail if some of the data values are actually zero — and I also don't know if it will work for VBOX because I never tried it.

 

There are many options in PROC SGPLOT for creating logarithmic scales. For example:

 

proc sgplot data=long noborder;
    vbox Value / category=Variable;
    yaxis type=log logbase=10 logstyle=logexpand;
run; 

 

 

 

--
Paige Miller
Ksharp
Super User

You can suppress to print these outliers to make your graphic look better.

 

proc sgplot data=sashelp.heart;
vbox weight/category=bp_Status nooutliers;
run;
BrunoMueller
SAS Super FREQ

You could use proc SGPANEL and have the the box plots as rows. See this example:

data long;
  set sashelp.cars;
  length variable $ 32;
  Variable = "msrp"; Value = msrp; output;
  Variable = "horsepower"; Value = horsepower; output;
  Variable = "mpg_city"; Value = mpg_city; output;
  keep variable value;
run;

proc sgpanel data=long ;
  panelby variable / uniscale=column columns=1 ;
  vbox value;
run;

Which will create this:

BrunoMueller_0-1736335202372.png

 

 

sas-innovate-2026-white.png



April 27 – 30 | Gaylord Texan | Grapevine, Texas

Registration is open

Walk in ready to learn. Walk out ready to deliver. This is the data and AI conference you can't afford to miss.
Register now and save with the early bird rate—just $795!

Register now

What is ANOVA?

ANOVA, or Analysis Of Variance, is used to compare the averages or means of two or more populations to better understand how they differ. Watch this tutorial for more.

Find more tutorials on the SAS Users YouTube channel.

Discussion stats
  • 3 replies
  • 2304 views
  • 8 likes
  • 4 in conversation