this code came from Chris Hemedinger's blog:
https://blogs.sas.com/content/sasdummy/2013/06/12/correlations-matrix-heatmap-with-sas/
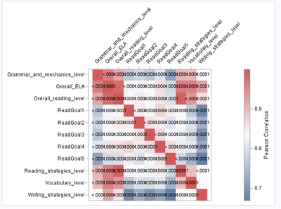
I want to include the correlation coefficient in each cell of the heat map. If I hover over the output I see the value of r but I cannot output it.
/* Prepare the correlations coeff matrix: Pearson's r method */
%macro prepCorrData(in=,out=);
  /* Run corr matrix for input data, all numeric vars */
  proc corr data=&in. noprint
    pearson
    outp=work._tmpCorr
    vardef=df
  ;
  run;
 
  /* prep data for heat map */
data &out.;
  keep x y r;
  set work._tmpCorr(where=(_TYPE_="CORR"));
  array v{*} _numeric_;
  x = _NAME_;
  do i = dim(v) to 1 by -1;
    y = vname(v(i));
    r = v(i);
    /* creates a lower triangular matrix */
    if (i<_n_) then
      r=.;
    output;
  end;
run;
 
proc datasets lib=work nolist nowarn;
  delete _tmpcorr;
quit;
%mend;
  /* Create a heat map implementation of a correlation matrix */
ods path work.mystore(update) sashelp.tmplmst(read);
 
proc template;
  define statgraph corrHeatmap;
   dynamic _Title;
    begingraph;
      entrytitle _Title;
      rangeattrmap name='map';
      /* select a series of colors that represent a "diverging"  */
      /* range of values: stronger on the ends, weaker in middle */
      /* Get ideas from http://colorbrewer.org                   */
      range -1 - 1 / rangecolormodel=(cxD8B365 cxF5F5F5 cx5AB4AC);
      endrangeattrmap;
      rangeattrvar var=r attrvar=r attrmap='map';
      layout overlay / 
        xaxisopts=(display=(line ticks tickvalues)) 
        yaxisopts=(display=(line ticks tickvalues));
        heatmapparm x = x y = y colorresponse = r / 
          xbinaxis=false ybinaxis=false
          name = "heatmap" display=all;
        continuouslegend "heatmap" / 
          orient = vertical location = outside title="Pearson Correlation";
      endlayout;
    endgraph;
  end;
run;
/* Build the graphs */
ods graphics /height=600 width=800 imagemap;
 
%prepCorrData(in=sashelp.cars,out=cars_r);
proc sgrender data=cars_r template=corrHeatmap;
   dynamic _title="Corr matrix for SASHELP.cars";
run;
 
%prepCorrData(in=sashelp.iris,out=iris_r);
proc sgrender data=iris_r template=corrHeatmap;
   dynamic _title= "Corr matrix for SASHELP.iris";
run;
 
/* example of dropping categorical numerics */
%prepCorrData(
  in=sashelp.pricedata(drop=region date product line),
  out=pricedata_r);
proc sgrender data=pricedata_r template=corrHeatmap;
  dynamic _title="Corr matrix for SASHELP.pricedata";
run;
Do you know how to control the overall size of the matrix? This is my output.
It's finally time to hack! Remember to visit the SAS Hacker's Hub regularly for news and updates.
Learn how use the CAT functions in SAS to join values from multiple variables into a single value.
Find more tutorials on the SAS Users YouTube channel.
Ready to level-up your skills? Choose your own adventure.
