BookmarkSubscribeRSS Feed
🔒 This topic is solved and locked. Need further help from the community? Please sign in and ask a new question.
MAC1430
Pyrite | Level 9

Hi everyone,

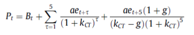
I need to calculate cost of capital based on the model looks like below:

cheema_3-1630632232865.png

All the variables in this model are known, except the discount rate cheema_4-1630632251555.png.

I’m entering a dead end to find useful code to solve the equation above, where only cheema_5-1630632251555.png  is the unknown.

If you know a solution to this problem, please comment, it is very much appreciated.

Thank you very much.

1 ACCEPTED SOLUTION

Accepted Solutions
FreelanceReinh
Jade | Level 19

Hi @MAC1430,

 

I think you can use the SOLVE function in PROC FCMP:

/* Define function DISCRATE */

proc fcmp outlib=work.funcs.test;
function rhs(t, B[*], a, g, e[*], c);
  s=B[t];
  do tau=1 to 5;
    s = s + a*e[t+tau]/(1+g+c)**tau;
  end;
  s = s + a*e[t+5]*(1+g)/(c*(1+g+c)**5);
  return(s);
endfunc;
function discrate(t, P[*], B[*], a, g, e[*]);
  r=g+solve("RHS", {.}, P[t], t, B, a, g, e, .);
  return(r);
endfunc;
run;

/* Make function available */

options cmplib=work.funcs;

/* Apply function DISCRATE to arbitrary sample data */

data test;
array p[3] (175 180 190);
array b[3] (  2   3   4);
array e[8] (. 1.1 0.8 0.9 1.2 1.0 0.7 0.6);
a=0.5772;
g=0.0123;
do t=1 to 3;
  dr=discrate(t,p,b,a,g,e);
  output;
end;
run;

 

EDIT:  Took the second fraction out of the sum (t=1, ..., 5), as this seems more plausible mathematically (without knowing the background or source of the formula).

View solution in original post

3 REPLIES 3
FreelanceReinh
Jade | Level 19

Hi @MAC1430,

 

I think you can use the SOLVE function in PROC FCMP:

/* Define function DISCRATE */

proc fcmp outlib=work.funcs.test;
function rhs(t, B[*], a, g, e[*], c);
  s=B[t];
  do tau=1 to 5;
    s = s + a*e[t+tau]/(1+g+c)**tau;
  end;
  s = s + a*e[t+5]*(1+g)/(c*(1+g+c)**5);
  return(s);
endfunc;
function discrate(t, P[*], B[*], a, g, e[*]);
  r=g+solve("RHS", {.}, P[t], t, B, a, g, e, .);
  return(r);
endfunc;
run;

/* Make function available */

options cmplib=work.funcs;

/* Apply function DISCRATE to arbitrary sample data */

data test;
array p[3] (175 180 190);
array b[3] (  2   3   4);
array e[8] (. 1.1 0.8 0.9 1.2 1.0 0.7 0.6);
a=0.5772;
g=0.0123;
do t=1 to 3;
  dr=discrate(t,p,b,a,g,e);
  output;
end;
run;

 

EDIT:  Took the second fraction out of the sum (t=1, ..., 5), as this seems more plausible mathematically (without knowing the background or source of the formula).

Ksharp
Super User

Do you have SAS/IML? Calling @Rick_SAS 

Rick_SAS
SAS Super FREQ

For more information about how to use the SOLVE function and PROC FCMP, see "Find the root of a function by using the SAS DATA step."

 

The same article provides links to other root-finding methods in SAS. As @Ksharp points out, the easiest way to solve this equation is to use the FROOT function in SAS/IML, if you have a license for SAS/IML.

sas-innovate-2026-white.png



April 27 – 30 | Gaylord Texan | Grapevine, Texas

Registration is open

Walk in ready to learn. Walk out ready to deliver. This is the data and AI conference you can't afford to miss.
Register now and save with the early bird rate—just $795!

Register now

How to Concatenate Values

Learn how use the CAT functions in SAS to join values from multiple variables into a single value.

Find more tutorials on the SAS Users YouTube channel.

SAS Training: Just a Click Away

 Ready to level-up your skills? Choose your own adventure.

Browse our catalog!

Discussion stats
  • 3 replies
  • 1879 views
  • 9 likes
  • 4 in conversation