BookmarkSubscribeRSS Feed
☑ This topic is solved. Need further help from the community? Please sign in and ask a new question.
rmacarthur
Pyrite | Level 9

Hi SAS friends, 

Am using Proc SGpanel to create a single panel graph with 3 groups, and 3 subgroups. 

I"d like the subgroup vbars to have the same fill pattern across the three main groups, that is Mo has one fill pattern, Larry has a different one, as does Curly. 

Have looked at the online help and have had no luck in solving.

Attached is a sample dataset, and current graph image and here's the current code.

/* START metabolite % figure */
ods listing;
ods html path="&out.\" (url=NONE) style=journal;
ods graphics on /attrpriority=none imagename="Met_Pct" imagefmt=png noborder;
ODS HTML	;

Title1	color=black height=2	"Bryl cream use amongst early comedians" ;
proc format;
			value O_No
				1='Winken'
				2='Blinken'
				3='Nod'
				;
			value 	C_No
				1='Mo'
				2='Larry'
				3='Curly'
				;
run;
proc sgpanel data	=	sf.MLC		  noautolegend  ;
	format	O_No	O_No.		C_No	C_No.	;
  	panelby O_No 		/ 	onepanel layout=columnlattice colheaderpos=top /*noborder*/ novarname; 
  	vbar 	C_No 	/ 		dataskin=crisp groupdisplay=cluster response=pct grouporder=data ;
  	rowaxis 	label="%"	min	=	0 	max	=	80 	valueattrs=(size=8)	;
  colaxis 	 display=(nolabel)	;  
run;
ods graphics off;
ods html close;
/* END	metabolite % figure */

Would greatly appreciate help in solving this one !

Thank you !

 

 

 

  

1 ACCEPTED SOLUTION

Accepted Solutions
rmacarthur
Pyrite | Level 9

Recreate the graph using Proc SGPlot, V-bar option.

Proc SG Panel does not easily support the V-bar fill needed, while Proc SGPlot was able to do it easily.

View solution in original post

3 REPLIES 3
rmacarthur
Pyrite | Level 9

Recreate the graph using Proc SGPlot, V-bar option.

Proc SG Panel does not easily support the V-bar fill needed, while Proc SGPlot was able to do it easily.

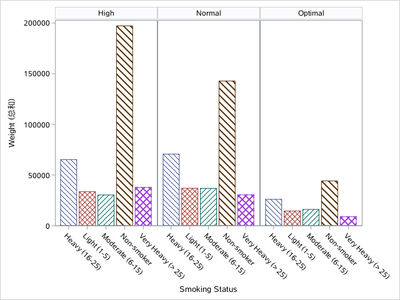
Ksharp
Super User
ods graphics/attrpriority=none;
proc sgpanel data=sashelp.heart noautolegend ;
panelby bp_Status/ 	onepanel layout=columnlattice colheaderpos=top /*noborder*/ novarname; 
vbar smoking_status	/group=smoking_status nofill fillpattern dataskin=crisp groupdisplay=cluster response=weight grouporder=data ;
run;

Ksharp_0-1733191522977.png

 

rmacarthur
Pyrite | Level 9

Thank you !  Sorry for the late reply !

sas-innovate-2026-white.png



April 27 – 30 | Gaylord Texan | Grapevine, Texas

Registration is open

Walk in ready to learn. Walk out ready to deliver. This is the data and AI conference you can't afford to miss.
Register now and lock in 2025 pricing—just $495!

Register now

How to Concatenate Values

Learn how use the CAT functions in SAS to join values from multiple variables into a single value.

Find more tutorials on the SAS Users YouTube channel.

SAS Training: Just a Click Away

 Ready to level-up your skills? Choose your own adventure.

Browse our catalog!

Discussion stats
  • 3 replies
  • 1427 views
  • 1 like
  • 2 in conversation