BookmarkSubscribeRSS Feed
EC27556
Quartz | Level 8

Hi,

 

I currently have a dataset which looks like this:

 

Intercept      Slope

5                      5

1                      2

3                      6

.

.

.

Is there any way to plot a graph containing all of these lines?

 

Thanks

2 REPLIES 2
PaigeMiller
Diamond | Level 26

PROC SGPLOT using the LINEPARM statement. 

https://documentation.sas.com/doc/en/pgmsascdc/9.4_3.4/grstatproc/n19gxtzyuf79t3n16g5v26b73ckv.htm#p...

 

Depending on what you want and how many lines you have, you may need to use CALL EXECUTE or macros.

--
Paige Miller
Ksharp
Super User
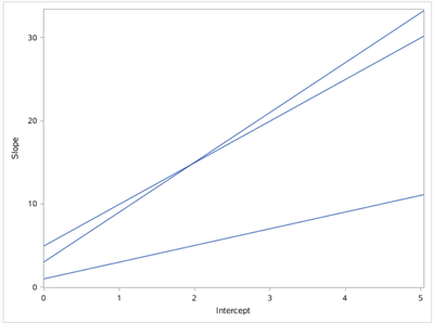
data have;
input Intercept      Slope;
cards;
5                      5
1                      2
3                      6
;


proc sgplot data=have noautolegend;
scatter x=intercept y=slope/markerattrs=(size=0);
lineparm  x=0 y=intercept slope=slope;
run;




Ksharp_0-1623245662270.png

 

sas-innovate-2026-white.png



April 27 – 30 | Gaylord Texan | Grapevine, Texas

Registration is open

Walk in ready to learn. Walk out ready to deliver. This is the data and AI conference you can't afford to miss.
Register now and lock in 2025 pricing—just $495!

Register now

How to Concatenate Values

Learn how use the CAT functions in SAS to join values from multiple variables into a single value.

Find more tutorials on the SAS Users YouTube channel.

SAS Training: Just a Click Away

 Ready to level-up your skills? Choose your own adventure.

Browse our catalog!

Discussion stats
  • 2 replies
  • 719 views
  • 0 likes
  • 3 in conversation