BookmarkSubscribeRSS Feed
🔒 This topic is solved and locked. Need further help from the community? Please sign in and ask a new question.
SuryaKiran
Meteorite | Level 14

Hi SAS Users,

 

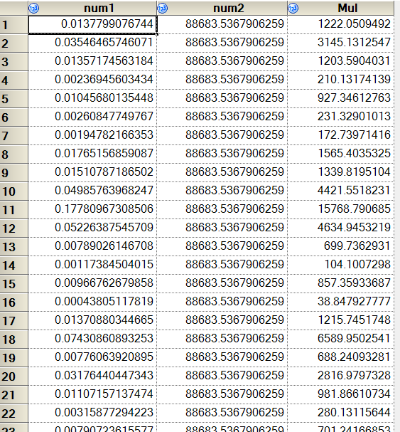
Today I came across very weird issue in SAS. I just multplied two floating point values and the result is not accurate to actual values.

 

OUTPUT.PNG

 

Capture.PNG

 

If we calculate 0.014x88683.537=1241.569, but SAS give different answer.

 

DATA test2;
set test;
Mul=num1*num2;
RUN;

 

Thanks,
Suryakiran
1 ACCEPTED SOLUTION

Accepted Solutions
SuryaKiran
Meteorite | Level 14

Figured out the issue: num1 is shown as rounded to 3 decimal values, but when performing the calculation it is not rounded to 3 decimals. 

Thanks,
Suryakiran

View solution in original post

6 REPLIES 6
WarrenKuhfeld
Ammonite | Level 13

Use a format like best16. instead of 5.3 and 12.3 and you will get values closer to the true values.  Multiple them and see if you get something closer to the expected results.

SuryaKiran
Meteorite | Level 14

Still the same results after using best16.

 

OUTPUT.PNG

Thanks,
Suryakiran
WarrenKuhfeld
Ammonite | Level 13

The SAS product will be the same.  The point is if you multiply the numbers together using a calculator, your results will come closer than they did before.

SuryaKiran
Meteorite | Level 14

Figured out the issue: num1 is shown as rounded to 3 decimal values, but when performing the calculation it is not rounded to 3 decimals. 

Thanks,
Suryakiran
WarrenKuhfeld
Ammonite | Level 13

Right.  That is why I wanted you to display the numbers with more precision before multiplying them together to compare to the product that SAS reports.

ChrisNZ
Tourmaline | Level 20

SAS gives the correct answer for your example.

data t;
  x=0.014*88683.537;

  putlog x= 32.16;
run;

x=1241.5695180000000000

 

Go to https://www.wolframalpha.com/input/?i=0.014x88683.537

for a calculation with many more digits than SAS or your calculator will display.

sas-innovate-2026-white.png



April 27 – 30 | Gaylord Texan | Grapevine, Texas

Registration is open

Walk in ready to learn. Walk out ready to deliver. This is the data and AI conference you can't afford to miss.
Register now and save with the early bird rate—just $795!

Register now

How to Concatenate Values

Learn how use the CAT functions in SAS to join values from multiple variables into a single value.

Find more tutorials on the SAS Users YouTube channel.

SAS Training: Just a Click Away

 Ready to level-up your skills? Choose your own adventure.

Browse our catalog!

Discussion stats
  • 6 replies
  • 2909 views
  • 0 likes
  • 3 in conversation