BookmarkSubscribeRSS Feed
🔒 This topic is solved and locked. Need further help from the community? Please sign in and ask a new question.
LuciaCekanakova
Obsidian | Level 7

Hi,

recently I've found a post with a way to create a customized bar chart: https://communities.sas.com/t5/SAS-Programming/Creating-a-customized-waterfall-graph/m-p/326830#M728...

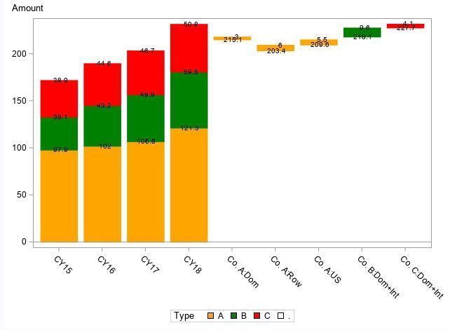
@Rick_SAS mentioned, that you can add labels to bars using TEXT statement, this is my modified code and output:

 

data Test;
length Name $13. Type $1.; 
input Name $13. Amount Type $1.;
if missing(type) then type=".";
datalines;
CY15           97.9 A
CY15           35.1 B
CY15           38.9 C
CY16          102.0 A
CY16           43.2 B
CY16           44.6 C
CY17          106.8 A
CY17           49.9 B
CY17           46.7 C
Co. A:Row     203.4 .
Co. A:Row       6.0 A
Co. A:US      209.6 .
Co. A:US        5.5 A
Co. A:Dom     215.1 .
Co. A:Dom       3.0 A
Co. B:Dom+Int 218.1 .
Co. B:Dom+Int   9.6 B
Co. C:Dom+Int 227.7 .
Co. C:Dom+Int   4.1 C
CY18          121.3 A
CY18           59.5 B
CY18           50.8 C
;

proc sort data=test;
	by name;
run; 

data test2;
	set test;
	retain label_position;
	by name; 
	if first.name then do;
		label_position=amount;
		end;
	else do; 
		label_position+amount;
		end;
run;

proc sgplot data=Test2;
  styleattrs datacolors=(orange green red white);
  vbarparm category=Name response=Amount / group=Type nooutline;
    *seglabel seglabelfitpolicy=none seglabelattrs=(weight=bold);
  text x=name y=label_position text=Amount; 
  xaxis display=(nolabel);
  yaxis labelpos=top;
run;

graph.JPG

 


My question is: Is it possible to display only the labels of the colored (non-white) bars?

 

Ideally I'd like to display just the labels of the colored bars and place them either in the middle of the bar (if it fits inside) or outside of it (if it doesn't). But I'd be more than happy if I could just hide the labels of the white bars.

 

Thanks for any help!

1 ACCEPTED SOLUTION

Accepted Solutions
Rick_SAS
SAS Super FREQ

Don't use Amount as the label. Create a label variable that is either a formatted value of Amount or is blank.:

 


data test2;
	set test;
	retain label_position;
	by name; 
	if first.name then do;
		label_position=amount;
		end;
	else do; 
		label_position+amount;
		end;
   if Type="." then MyLabel="     ";
   else MyLabel=put(Amount, Best5.);

run;

proc sgplot data=Test2;
  styleattrs datacolors=(orange green red white);
  vbarparm category=Name response=Amount / group=Type nooutline;
    *seglabel seglabelfitpolicy=none seglabelattrs=(weight=bold);
  text x=name y=label_position text=MyLabel; 
  xaxis display=(nolabel);
  yaxis labelpos=top;
run;

View solution in original post

2 REPLIES 2
Rick_SAS
SAS Super FREQ

Don't use Amount as the label. Create a label variable that is either a formatted value of Amount or is blank.:

 


data test2;
	set test;
	retain label_position;
	by name; 
	if first.name then do;
		label_position=amount;
		end;
	else do; 
		label_position+amount;
		end;
   if Type="." then MyLabel="     ";
   else MyLabel=put(Amount, Best5.);

run;

proc sgplot data=Test2;
  styleattrs datacolors=(orange green red white);
  vbarparm category=Name response=Amount / group=Type nooutline;
    *seglabel seglabelfitpolicy=none seglabelattrs=(weight=bold);
  text x=name y=label_position text=MyLabel; 
  xaxis display=(nolabel);
  yaxis labelpos=top;
run;
LuciaCekanakova
Obsidian | Level 7

That is so simple, I can't believe I didn't think of it 😄

Thank you so much!

sas-innovate-2026-white.png



April 27 – 30 | Gaylord Texan | Grapevine, Texas

Registration is open

Walk in ready to learn. Walk out ready to deliver. This is the data and AI conference you can't afford to miss.
Register now and lock in 2025 pricing—just $495!

Register now

How to Concatenate Values

Learn how use the CAT functions in SAS to join values from multiple variables into a single value.

Find more tutorials on the SAS Users YouTube channel.

SAS Training: Just a Click Away

 Ready to level-up your skills? Choose your own adventure.

Browse our catalog!

Discussion stats
  • 2 replies
  • 1260 views
  • 2 likes
  • 2 in conversation