BookmarkSubscribeRSS Feed
SASuserlot
Barite | Level 11

Hi , I am newly learning about Kaplan Meier Plot.  I always having the confusion about What kind of Graph I need to Generate. Is my line in the Graph is need to upwards or downwards. Can someone please ans me with example or provide the links about  better understanding about it. I am aware of lifetest program, CNSR etc. But I always confuse when I see the dataset and ask for creating a KM graph. I am providing example dataset, If possible please let me know with this example.

 

Following dataset is a time to adverse event dataset ( I just created dummy , Please feel free to change if these numbers did not work). in which

TRT- Treatment  ( 1,2)

Aeterm- Adverse event that happened

AVAL= No of days it took to get the Adverse Event from the Start of the Treatment.

I want to create the KM graph that indicates the time (no of days ) to the adverse event.

x axis -No of days

Y axis- probability. of whatever gives upward graph and downward graph

My question is how I Know the graph asked  have the line going downwards or upwards,  in my case whats the probability indicates on Y- axis if line going upwards and whats the probability indicates when it going downwards.

 

If possible please explain graphs that can be created in both direction. I greatly appreciate all your inputs. Thanks in advance. Is there a simple way to remember? example of the graph.

 data adtte;
 input trt subjid $4. aeterm $9. aval cnsr ;
 datalines;
 1 101A Headache  4  0
 1 102A Headache  12 0
 1 103A Headache  21 0
 1 104A Headache  1  1
 1 105A Headache  1  1
 2 101A Headache  1  1
 2 102A Headache  34 0
 2 103A Headache  21 0
 2 104A Headache  48 0
 2 105A Headache  1  1
 ;
 run;

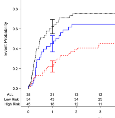
 example: graph line upwards (in case if you don't understand what I mean above)

SASuserlot_0-1642173786607.png

Example: Graph line going downwards

SASuserlot_1-1642173886617.png

 

1 REPLY 1
Reeza
Super User

I'm guessing you have different axis labels there - specifically survival versus failure plots. 

Failure is 1-survival or vice versa.

 

Event probability is likely a failure plot, what percent has failed at time. 

Your second graph is likely a survival plot, what percent remains at a specific time. 

 


@SASuserlot wrote:

Hi , I am newly learning about Kaplan Meier Plot.  I always having the confusion about What kind of Graph I need to Generate. Is my line in the Graph is need to upwards or downwards. Can someone please ans me with example or provide the links about  better understanding about it. I am aware of lifetest program, CNSR etc. But I always confuse when I see the dataset and ask for creating a KM graph. I am providing example dataset, If possible please let me know with this example.

 

Following dataset is a time to adverse event dataset ( I just created dummy , Please feel free to change if these numbers did not work). in which

TRT- Treatment  ( 1,2)

Aeterm- Adverse event that happened

AVAL= No of days it took to get the Adverse Event from the Start of the Treatment.

I want to create the KM graph that indicates the time (no of days ) to the adverse event.

x axis -No of days

Y axis- probability. of whatever gives upward graph and downward graph

My question is how I Know the graph asked  have the line going downwards or upwards,  in my case whats the probability indicates on Y- axis if line going upwards and whats the probability indicates when it going downwards.

 

If possible please explain graphs that can be created in both direction. I greatly appreciate all your inputs. Thanks in advance. Is there a simple way to remember? example of the graph.

 data adtte;
 input trt subjid $4. aeterm $9. aval cnsr ;
 datalines;
 1 101A Headache  4  0
 1 102A Headache  12 0
 1 103A Headache  21 0
 1 104A Headache  1  1
 1 105A Headache  1  1
 2 101A Headache  1  1
 2 102A Headache  34 0
 2 103A Headache  21 0
 2 104A Headache  48 0
 2 105A Headache  1  1
 ;
 run;

 example: graph line upwards (in case if you don't understand what I mean above)

SASuserlot_0-1642173786607.png

Example: Graph line going downwards

SASuserlot_1-1642173886617.png

 


 

sas-innovate-2026-white.png



April 27 – 30 | Gaylord Texan | Grapevine, Texas

Registration is open

Walk in ready to learn. Walk out ready to deliver. This is the data and AI conference you can't afford to miss.
Register now and lock in 2025 pricing—just $495!

Register now

How to Concatenate Values

Learn how use the CAT functions in SAS to join values from multiple variables into a single value.

Find more tutorials on the SAS Users YouTube channel.

SAS Training: Just a Click Away

 Ready to level-up your skills? Choose your own adventure.

Browse our catalog!

Discussion stats
  • 1 reply
  • 1028 views
  • 1 like
  • 2 in conversation