BookmarkSubscribeRSS Feed
🔒 This topic is solved and locked. Need further help from the community? Please sign in and ask a new question.
Frieda
Calcite | Level 5

Dear All, 

 

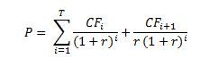
For a project at my university, I like to calculate the internal rate of return for multiple projects. That is, I have data on the "price" of today P, the future monthly Cash flows (CF) for the next 5 years and then a growth assumption for these Cash flows up to infinity. Now, I like to calculate the internal rate of return which discounts the future cash flows to the price of today. I was told its easiest to use proc fcmp for that, but i am not experienced with that...

I uploaded an image of the formula, I need to solve for r - i have data for the rest of the variables. 

 

I'd be super thankful if someone could help me, as I am starting to get desperated 😞

(I am a SAS newbe, please excuse my unawareness of basic things).

 

Thank you! 


DCF-formula.JPG
1 ACCEPTED SOLUTION

Accepted Solutions
gergely_batho
SAS Employee

Hi,

First look at Financial functions in SAS Functions and CALL Routines by Category:

https://support.sas.com/documentation/cdl/en/lefunctionsref/67960/HTML/default/viewer.htm#p0w6napahk...

Your required function might be there. If not...

 

Your cash flow is quite special, so maybe you really need to use PROC FCMP to solve for r.

This is how I would do it:

I'm starting from the SOLVE Function code examples here:

http://support.sas.com/documentation/cdl/en/proc/68954/HTML/default/viewer.htm#p1xoknqns865t7n1wehj6...

 

proc fcmp;
      /* define the present value function*/
   function present_value(r, cf1,cf2,cf3,cf4,cf5, cf6_oo);
array cfs[6] cf1 cf2 cf3 cf4 cf5 cf6_oo;
p=0;
do t=1 to 5;
p=p + cfs[t]/(1+r)**t + cfs[t+1]/(r*(r+1)**t); /*This is your formula*/
end;
return (p);
endsub;
function get_r(pv, cf1,cf2,cf3,cf4,cf5, cf6_oo);
r=solve('present_value', {.}, pv, ., cf1,cf2,cf3,cf4,cf5, cf6_oo);
return(r);
endsub;

data want;
set have;
r=get_r(pv, cf1,cf2,cf3,cf4,cf5, cf6_oo);
run;

Note, you might need to specify a starting value for r in the solve() functoon call. (See: {.})

Sorry, I have not run the code - no syntax check at all.

Hope this helps.

Greg

View solution in original post

5 REPLIES 5
PGStats
Opal | Level 21

Do not despair! What parameters would you pass to such a function?

PG
Frieda
Calcite | Level 5

Hi, 

 

Well, I got the price of today and the future cash flow amounts in US dollars. The r is the value that is searched for in decimals. 

 

Frieda

 

gergely_batho
SAS Employee

Hi,

First look at Financial functions in SAS Functions and CALL Routines by Category:

https://support.sas.com/documentation/cdl/en/lefunctionsref/67960/HTML/default/viewer.htm#p0w6napahk...

Your required function might be there. If not...

 

Your cash flow is quite special, so maybe you really need to use PROC FCMP to solve for r.

This is how I would do it:

I'm starting from the SOLVE Function code examples here:

http://support.sas.com/documentation/cdl/en/proc/68954/HTML/default/viewer.htm#p1xoknqns865t7n1wehj6...

 

proc fcmp;
      /* define the present value function*/
   function present_value(r, cf1,cf2,cf3,cf4,cf5, cf6_oo);
array cfs[6] cf1 cf2 cf3 cf4 cf5 cf6_oo;
p=0;
do t=1 to 5;
p=p + cfs[t]/(1+r)**t + cfs[t+1]/(r*(r+1)**t); /*This is your formula*/
end;
return (p);
endsub;
function get_r(pv, cf1,cf2,cf3,cf4,cf5, cf6_oo);
r=solve('present_value', {.}, pv, ., cf1,cf2,cf3,cf4,cf5, cf6_oo);
return(r);
endsub;

data want;
set have;
r=get_r(pv, cf1,cf2,cf3,cf4,cf5, cf6_oo);
run;

Note, you might need to specify a starting value for r in the solve() functoon call. (See: {.})

Sorry, I have not run the code - no syntax check at all.

Hope this helps.

Greg

Frieda
Calcite | Level 5

Thank you! I will try to apply this, and see how far it takes me towards my desired outcome 🙂

ballardw
Super User

You may want to investigate the SAS supplied functions IRR and INIRR or the FINANCE function IRR, MIRR, XIRR options before doing a lot of work unless those don't meet your needs.

sas-innovate-2026-white.png



April 27 – 30 | Gaylord Texan | Grapevine, Texas

Registration is open

Walk in ready to learn. Walk out ready to deliver. This is the data and AI conference you can't afford to miss.
Register now and lock in 2025 pricing—just $495!

Register now

What is Bayesian Analysis?

Learn the difference between classical and Bayesian statistical approaches and see a few PROC examples to perform Bayesian analysis in this video.

Find more tutorials on the SAS Users YouTube channel.

SAS Training: Just a Click Away

 Ready to level-up your skills? Choose your own adventure.

Browse our catalog!

Discussion stats
  • 5 replies
  • 2725 views
  • 1 like
  • 4 in conversation