BookmarkSubscribeRSS Feed
🔒 This topic is solved and locked. Need further help from the community? Please sign in and ask a new question.
WeiChen
Obsidian | Level 7

I confused why i get 3.3 for root of function for froot call. I know function have root at x=1 because 1-4+2+1 = 0. So why froot call not give me root>?

 

proc iml;
start func(x);
return x**3 - 4*x**2 + 2*x + 1;
finish;

root = froot("func", {-4 4});
print root;
y = func(root);
print y;
1 ACCEPTED SOLUTION

Accepted Solutions
Rick_SAS
SAS Super FREQ

The FROOT function returns one root within the interval that you specify. The value x=3.3 is a root, just not the one that you want!

 

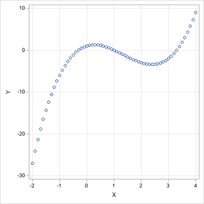
So how can you find the other roots? Read the article, "Finding roots: Automating the search for an initial guess." It suggests graphing the function on a domain that is wide enough to display all the roots. FOr your function, I converted the formula to use the '#' multiplication operator so that I can pass in a vector of x values with one call:

proc iml;
/* vectorize computation so that x can be a vector */
start func(x);
   return x##3 - 4*x##2 + 2#x + 1;
finish;

/* Graph function on wide domain. See
   https://blogs.sas.com/content/iml/2015/06/22/root-guess.html
*/
x = do(-2, 4, 0.1);
y = func(x);
call scatter(x, y) grid={x y};

SGPlot58.png

 From the graph, it looks like you can subdivide the x axis into nonoverlapping intervals so that there is one root in each interval. The FROOT function will then compute the three roots of this function:

intervals = {-4 0,
              0 2,
              2 4};
roots = froot("func", intervals);    
y = func(roots);
print roots y;
roots y
-0.302776 0
1 0
3.3027756 1.776E-15

View solution in original post

5 REPLIES 5
Rick_SAS
SAS Super FREQ

The FROOT function returns one root within the interval that you specify. The value x=3.3 is a root, just not the one that you want!

 

So how can you find the other roots? Read the article, "Finding roots: Automating the search for an initial guess." It suggests graphing the function on a domain that is wide enough to display all the roots. FOr your function, I converted the formula to use the '#' multiplication operator so that I can pass in a vector of x values with one call:

proc iml;
/* vectorize computation so that x can be a vector */
start func(x);
   return x##3 - 4*x##2 + 2#x + 1;
finish;

/* Graph function on wide domain. See
   https://blogs.sas.com/content/iml/2015/06/22/root-guess.html
*/
x = do(-2, 4, 0.1);
y = func(x);
call scatter(x, y) grid={x y};

SGPlot58.png

 From the graph, it looks like you can subdivide the x axis into nonoverlapping intervals so that there is one root in each interval. The FROOT function will then compute the three roots of this function:

intervals = {-4 0,
              0 2,
              2 4};
roots = froot("func", intervals);    
y = func(roots);
print roots y;
roots y
-0.302776 0
1 0
3.3027756 1.776E-15
WeiChen
Obsidian | Level 7

What if i dont know how many roots are in function?

Rick_SAS
SAS Super FREQ

Read the article. It discusses that situation.

Ksharp
Super User

Rick,

It is about to find the roots of the polynomial .Shouldn't use POLYROOT()?

 

proc iml;
p={1 -4 2 1};
r=polyroot(p);
print r;
quit;

Ksharp_0-1644070372211.png

 

Rick_SAS
SAS Super FREQ

Yes, POLYROOT would work for this example. It wasn't clear to me whether the OP was actually interested in a polynomial or was interested in a harder problem and is using the polynomial as an example.

sas-innovate-2026-white.png



April 27 – 30 | Gaylord Texan | Grapevine, Texas

Registration is open

Walk in ready to learn. Walk out ready to deliver. This is the data and AI conference you can't afford to miss.
Register now and lock in 2025 pricing—just $495!

Register now

From The DO Loop
Want more? Visit our blog for more articles like these.
Discussion stats
  • 5 replies
  • 2207 views
  • 4 likes
  • 3 in conversation