BookmarkSubscribeRSS Feed
Dan19
Calcite | Level 5

Hello!
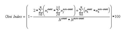
I am reading SAS documentation regarding  Interactive binning node. I saw the formula of Gini statistic (image attached). The Gini formula seems not to be standard one. So, it's interesting to me how this formula is derived, and is there a link to, e.g. an article, which explains this formula? Or can someone explain it?
Thanks!Screenshot from 2023-07-19 01-21-28.png

2 REPLIES 2
ballardw
Super User

I suggest also providing a similar link to what you consider the "standard".

It is not impossible that the one in the SAS documentation is equivalent just different calculation order or expression.

 

Caveat: not any expertise in Gini but some experience with alternate calculation methods.

sas-innovate-2026-white.png



April 27 – 30 | Gaylord Texan | Grapevine, Texas

Registration is open

Walk in ready to learn. Walk out ready to deliver. This is the data and AI conference you can't afford to miss.
Register now and lock in 2025 pricing—just $495!

Register now

How to choose a machine learning algorithm

Use this tutorial as a handy guide to weigh the pros and cons of these commonly used machine learning algorithms.

Find more tutorials on the SAS Users YouTube channel.

Discussion stats
  • 2 replies
  • 1374 views
  • 0 likes
  • 2 in conversation