BookmarkSubscribeRSS Feed
🔒 This topic is solved and locked. Need further help from the community? Please sign in and ask a new question.
LZHAO006
Fluorite | Level 6

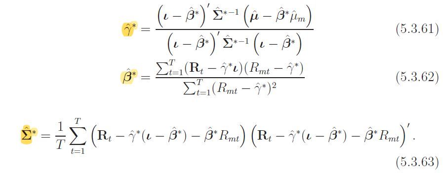
Hi, I need to solve the maximum likelihood estimation problem. Here is the equationequation.JPG

all the matrix and scalar are given except the highlighted gamma*_hat (1x1 matrix), Beta*_hat (6x1 matrix) and Sigma*_hat (6x6 matrix).  

Here's my part of proc iml codes for the above equations. (N = 6, T =60)

I already have the initial guess number for beta and sigma. I need to plug my initial guess beta and sigma to gamma equation and get a new gamma, and then use this new gamma to calculate a new beta and sigma, and repeat this process until the results convergence. 

	/*gamma*/
		gamma = ((I - beta)`*inv(sigma)*(mu - beta*mu_m))/ ((I - beta)`*inv(sigma)*(I - beta));
	/*beta*/
			/**Numerator*/
		Nu = j(N,1,0);	D = 0;
		do i = 1 to T by 1;
			Nu = Nu + (R[i, ]` - gamma*ID)*(Rm[i,1] - gamma);
		end;
			/*Denominator*/
		do i = 1 to T by 1;
			D = D + (Rm[i,1] - gamma)##2;
		end;

		beta = Nu/D;
	
	/*sigma*/
	sigma = j(6,6,0);
		do i = 1 to T by 1;
			sigma = sigma + (Rt[i, ]`-gamma*(I-beta) - beta*Rm_b[i,1])*(Rt[i, ]`-gamma*(I-beta) - beta*Rm[i,1])`;
		end;
	sigma_b = sigma_b/T;

Does anyone know how can I repeat these codes? should I use do loop? is there a repeat code function in iml?  I really appreciate any help! 

1 ACCEPTED SOLUTION

Accepted Solutions
Rick_SAS
SAS Super FREQ

SAS is not a case-sensitive language. Thus your matrix I and the iteration variable i are the same variable. As soon as you execute the first loop, the I matrix is overwritten/replaced.

 

Do know from theory that the iterative computation of those equations will converge to a solution? If so,

write a loop such as the following (untested, but hopefully you can see the main idea):

 

 

beta = GUESS1; gamma = GUESS2; SIGMA = GUESS3;
convergence = 0; /* false */
do k = 1 to 500 until (convergence);
  beta_old = beta; gamma_old = gamma; Sigma_old = Sigma;
   /* compute/update beta, gamma, and Sigma according to formulas */
  beta_diff = norm(abs(beta - beta_old));   /* or use max(abs( ... )) */
  gamma_diff = norm(abs(gamma - gamma_old));
  Sigma_diff =  norm(abs(Sigma - Sigma_old));
  if beta_diff <= 1e-3 & gamma_diff <= 1e-3 & Sigma_diff <= 1e-3 then
      convergence=1;
  if mod(k, 25)=0 then
      print k beta_diff gamma_diff Sigma_diff;
end;

print converged k beta_diff gamma_diff Sigma_diff;

View solution in original post

7 REPLIES 7
Ksharp
Super User

Why not post it at IML forum @Rick_SAS is there .also Rick wrote several blogs about it before . you could search MLE at his blog.

Rick_SAS
SAS Super FREQ

1. What are you trying to accomplish? Are you estimating parameters in a mixed model? There might be better ways to solve this problem in SAS, so let us know what your ultimate goal is.

 

2. Could you post values for 

I, mu, mu_m, Rt and Rm?

Also, in your SAS code you refer to Rm_b, which doesn't seem to appear in the equations.

LZHAO006
Fluorite | Level 6

Here's the post value of  Rt

LZHAO006
Fluorite | Level 6

HI Rick, my ultimate goal is to estimate the gamma*, beta* and sigma* using the provided equation. Right now I already have the initial estimate value for beta and sigma. and I would like to run a loop (maybe 1000times?) for my equation codes to get the gamma*, beta* and sigma*.

This is part of the Black version of CAPM calculation. so I add all value name with "_b" to remind me this is the black version in my original code. Sorry I didn't delete when I posted my questions.

Please see the attachments of my post values and initial guest for beta and sigma. I is the 6x1 identity matrix. I added in my code. Thank you very much!

 

 

 

I = j(6,1,1);
T = 60;

/*gamma*/
		gamma = ((I - beta)`*inv(sigma)*(mu - beta*mu_m))/ ((I - beta)`*inv(sigma)*(I - beta));

/*beta*/
			/**Numerator*/
		Nu = j(N,1,0);	D = 0;
		do i = 1 to T by 1;
			Nu = Nu + (Rt[i, ]` - gamma*ID)*(Rm[i,1] - gamma);
		end;
			/*Denominator*/
		do i = 1 to T by 1;
			D = D + (Rm[i,1] - gamma)##2;
		end;

		beta = Nu/D;
	
/*sigma*/
	sigma = j(6,6,0);
		do i = 1 to T by 1;
			sigma = sigma + (Rt[i, ]`-gamma*(I-beta) - beta*Rm[i,1])*(Rt[i, ]`-gamma*(I-beta) - beta*Rm[i,1])`;
		end;
	sigma = sigma/T;
Rick_SAS
SAS Super FREQ

SAS is not a case-sensitive language. Thus your matrix I and the iteration variable i are the same variable. As soon as you execute the first loop, the I matrix is overwritten/replaced.

 

Do know from theory that the iterative computation of those equations will converge to a solution? If so,

write a loop such as the following (untested, but hopefully you can see the main idea):

 

 

beta = GUESS1; gamma = GUESS2; SIGMA = GUESS3;
convergence = 0; /* false */
do k = 1 to 500 until (convergence);
  beta_old = beta; gamma_old = gamma; Sigma_old = Sigma;
   /* compute/update beta, gamma, and Sigma according to formulas */
  beta_diff = norm(abs(beta - beta_old));   /* or use max(abs( ... )) */
  gamma_diff = norm(abs(gamma - gamma_old));
  Sigma_diff =  norm(abs(Sigma - Sigma_old));
  if beta_diff <= 1e-3 & gamma_diff <= 1e-3 & Sigma_diff <= 1e-3 then
      convergence=1;
  if mod(k, 25)=0 then
      print k beta_diff gamma_diff Sigma_diff;
end;

print converged k beta_diff gamma_diff Sigma_diff;
LZHAO006
Fluorite | Level 6
It works! thank you very much!!!

sas-innovate-2026-white.png



April 27 – 30 | Gaylord Texan | Grapevine, Texas

Registration is open

Walk in ready to learn. Walk out ready to deliver. This is the data and AI conference you can't afford to miss.
Register now and save with the early bird rate—just $795!

Register now

Mastering the WHERE Clause in PROC SQL

SAS' Charu Shankar shares her PROC SQL expertise by showing you how to master the WHERE clause using real winter weather data.

Find more tutorials on the SAS Users YouTube channel.

Discussion stats
  • 7 replies
  • 2430 views
  • 2 likes
  • 4 in conversation