hi,
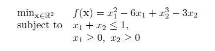
I am trying to solve the following problem

I wrote the following code
proc optmodel;
var x{1..2} >= 0;
minimize f = x[1]^2 - 6*x[1] + x[2]^3 - 3*x[2];
con constr1: sum{i in 1..2}x[i] <= 1;
/* starting point */
x[1] = 0.5;
x[2] = 0.4;
solve with NLP;
print x;Am I doing it right please?