BookmarkSubscribeRSS Feed
🔒 This topic is solved and locked. Need further help from the community? Please sign in and ask a new question.
syk
Obsidian | Level 7 syk
Obsidian | Level 7

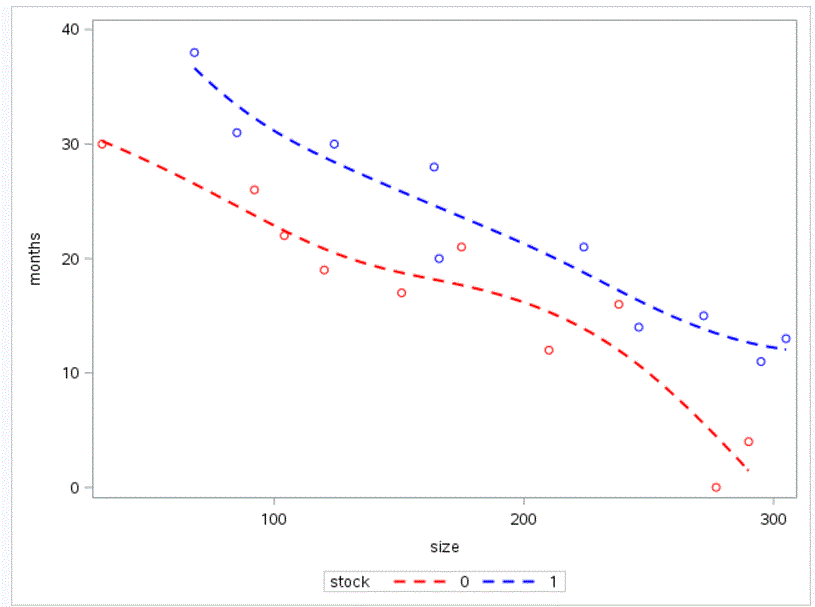
I have a set of procedures for styleattrs not cycling through the options, what am I doing wrong?  The datalinepatterns and the datasymbols aren't using both specifications. Both linepatterns are dashed not dashed then solid, and the symbols aren't circles then triangles.

Capture.GIF

proc sgplot data=insurance;
	styleattrs datacontrastcolors=(red blue) datalinepatterns=(dash solid) datasymbols=(circle triangle);
	pbspline x=size y=months / group=stock smooth=100000; 

 

1 ACCEPTED SOLUTION

Accepted Solutions
DanH_sas
SAS Super FREQ

Here's what is probably happening:

 

Your output is probably HTML output. The default ODS style for that desitnation is HTMLBlue. The HTMLBlue is what we call a "color-priority" style, because it has ATTRPRIORITY=COLOR in the GRAPH style element. This means that the first line pattern or marker symbol is used until all colors are exhausted. Then, the pattern ot symbol is incremented. This is the behavior you are getting.

 

An easy way to override this behavior is to set the ATTRPRIORITY option on the ODS GRAPHICS statement:

 

ods graphics / attrpriority=none;

 

Hope this helps!

Dan

View solution in original post

3 REPLIES 3
DanH_sas
SAS Super FREQ

Here's what is probably happening:

 

Your output is probably HTML output. The default ODS style for that desitnation is HTMLBlue. The HTMLBlue is what we call a "color-priority" style, because it has ATTRPRIORITY=COLOR in the GRAPH style element. This means that the first line pattern or marker symbol is used until all colors are exhausted. Then, the pattern ot symbol is incremented. This is the behavior you are getting.

 

An easy way to override this behavior is to set the ATTRPRIORITY option on the ODS GRAPHICS statement:

 

ods graphics / attrpriority=none;

 

Hope this helps!

Dan

syk
Obsidian | Level 7 syk
Obsidian | Level 7
Thank you very much.

sas-innovate-2026-white.png



April 27 – 30 | Gaylord Texan | Grapevine, Texas

Registration is open

Walk in ready to learn. Walk out ready to deliver. This is the data and AI conference you can't afford to miss.
Register now and save with the early bird rate—just $795!

Register now

How to Concatenate Values

Learn how use the CAT functions in SAS to join values from multiple variables into a single value.

Find more tutorials on the SAS Users YouTube channel.

SAS Training: Just a Click Away

 Ready to level-up your skills? Choose your own adventure.

Browse our catalog!

Discussion stats
  • 3 replies
  • 2846 views
  • 2 likes
  • 3 in conversation