BookmarkSubscribeRSS Feed
🔒 This topic is solved and locked. Need further help from the community? Please sign in and ask a new question.
mariko5797
Pyrite | Level 9

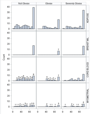
I want the counts of each bar to show, but it only shows sometimes. Is there something wrong with the program or is this a SAS issue? Thank you in advance.

 

mariko5797_0-1631709781911.png

proc sgpanel data = work_comp;
 panelby BMIGRP ABRV_SPECTYPE / layout = lattice onepanel novarname;
 histogram PCOMP / scale = count datalabel = count;
run;
1 ACCEPTED SOLUTION

Accepted Solutions
DanH_sas
SAS Super FREQ

Notice that only the bars with a single-digit value are being labeled. The other labels are dropped because the bars are too narrow and would cause a collision. If you make the graph a little wider, the values should appear.

View solution in original post

1 REPLY 1
DanH_sas
SAS Super FREQ

Notice that only the bars with a single-digit value are being labeled. The other labels are dropped because the bars are too narrow and would cause a collision. If you make the graph a little wider, the values should appear.

sas-innovate-2026-white.png



April 27 – 30 | Gaylord Texan | Grapevine, Texas

Registration is open

Walk in ready to learn. Walk out ready to deliver. This is the data and AI conference you can't afford to miss.
Register now and lock in 2025 pricing—just $495!

Register now

How to Concatenate Values

Learn how use the CAT functions in SAS to join values from multiple variables into a single value.

Find more tutorials on the SAS Users YouTube channel.

SAS Training: Just a Click Away

 Ready to level-up your skills? Choose your own adventure.

Browse our catalog!

Discussion stats
  • 1 reply
  • 1061 views
  • 0 likes
  • 2 in conversation