BookmarkSubscribeRSS Feed
BingL
Obsidian | Level 7

Hello to whomever can help


Please see the following R program and its graph output:

plot(ef, plot.assets=T)
points(gmin.port$sd, gmin.port$er, col="blue")
points(tan.port$sd, tan.port$er, col="red")
sr.tan = (tan.port$er - rk.free)/tan.port$sd
abline(a=rk.free, b=sr.tan)

Capture.PNG

I can plot everything that on this R graph above on GPLOT except those names of points, MSFT, NORD and SBUX.

 

So what should I do?

 

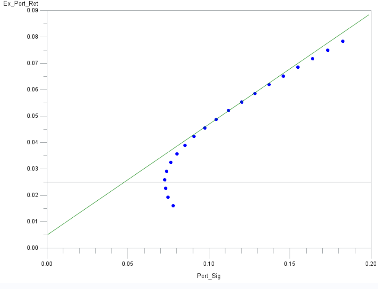
The following is my GPLOT output and program. it does not have everything yet, such as title, but iknow how to put it up there.

 

Thank you!

 

goptions reset=all border;

symbol1 value=dot color=blue;
symbol2 value=none interpol=join color=green;
axis1 order=(0 to 0.09 by 0.01) offset=(0,0)
	major=(height=2)
	minor=(height=1);
axis2 order=(0 to 0.2 by 0.05) offset=(0,0)
	major=(height=2)
	minor=(height=1);

proc gplot data=proj.TanLine;
	plot ex_port_ret*port_sig=1
	 	 Ex_tan_ret*Tan_port_sig=2/overlay
								vaxis=axis1
								vminor=1
								haxis=axis2
								hminor=4
								vref=0.024891845;
run;
quit;

Capture.PNG

1 REPLY 1
RW9
Diamond | Level 26 RW9
Diamond | Level 26

Firstly, I would stongly advise to move to sgplot or graph template language, they are far more controllable.  As I don't use gplot anymore - moved to modern tech, I can only advise using sgplot/gtl.

What I would do is to create your graph, then have your point, defined in two seprate variables, and overlay that plot with marker labels turned on:

data inter;
  set your_data;
  lab="MSFT";
  labx=0.08;
  laby=0.04;
run;
proc splot;
  ... your plots;
  scatter x=y=mpg_city /  group=type markerchar=lab;
run;

 

   

This does your graph, then overlays the scatter and places the text from LAB at the point LABX/LABY.  You can find plenty of examples of sgplot/gtl over at:

http://blogs.sas.com/content/graphicallyspeaking

sas-innovate-2026-white.png



April 27 – 30 | Gaylord Texan | Grapevine, Texas

Registration is open

Walk in ready to learn. Walk out ready to deliver. This is the data and AI conference you can't afford to miss.
Register now and lock in 2025 pricing—just $495!

Register now

How to Concatenate Values

Learn how use the CAT functions in SAS to join values from multiple variables into a single value.

Find more tutorials on the SAS Users YouTube channel.

SAS Training: Just a Click Away

 Ready to level-up your skills? Choose your own adventure.

Browse our catalog!

Discussion stats
  • 1 reply
  • 1430 views
  • 1 like
  • 2 in conversation