BookmarkSubscribeRSS Feed
🔒 This topic is solved and locked. Need further help from the community? Please sign in and ask a new question.
cocoono
Calcite | Level 5

In this case, I have information on person year and standard mortality rate for each stratum. As I checked the materials online, no one used two offsets at the same time. So I'm wondering can I do this? (the following is the SAS code)


proc genmod data=bomb3;
model casenum = age followuptime dose
/ dist=poisson offset=logcancerexp offset=logpys;
run;

1 ACCEPTED SOLUTION

Accepted Solutions
StatDave
SAS Super FREQ

An offset is used when you want to model a rate rather than just a count. See this note that discusses this. Since there is only a single count response, there can only be one offset that serves as the denominator of the rate. I assume that CASENUM is your count of the event of interest. If you want to model the rate per person-year, then you just need to specify the log of the person-year variable in OFFSET=. If you want to involve SMR in the model, simply include it as another predictor in the model. Note that an offset variable (as explained in the note above) is just a model predictor with its parameter restricted to one which is how it becomes the rate denominator. 

View solution in original post

2 REPLIES 2
StatDave
SAS Super FREQ

An offset is used when you want to model a rate rather than just a count. See this note that discusses this. Since there is only a single count response, there can only be one offset that serves as the denominator of the rate. I assume that CASENUM is your count of the event of interest. If you want to model the rate per person-year, then you just need to specify the log of the person-year variable in OFFSET=. If you want to involve SMR in the model, simply include it as another predictor in the model. Note that an offset variable (as explained in the note above) is just a model predictor with its parameter restricted to one which is how it becomes the rate denominator. 

cocoono
Calcite | Level 5

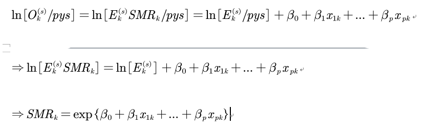
image.PNGThank you for your reply! I listed down the equation, and I think maybe the log(person-year) is no longer required using SMR. It's seems that I only need to consider log(expected) as the offset. How do you think?

Catch up on SAS Innovate 2026

Nearly 200 sessions are now available on demand with the SAS Innovate Digital Pass.

Explore Now →
What is ANOVA?

ANOVA, or Analysis Of Variance, is used to compare the averages or means of two or more populations to better understand how they differ. Watch this tutorial for more.

Find more tutorials on the SAS Users YouTube channel.

Discussion stats
  • 2 replies
  • 2071 views
  • 2 likes
  • 2 in conversation