BookmarkSubscribeRSS Feed

[SAS Programming]TimeSeries01

Started ‎07-14-2020 by
Modified ‎07-14-2020 by
Views 1,151

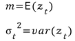
TimeSeries ?

국민 총생산, 물가지수, 상품의 판매량, 종합주가지수, 강우량, 태양의 흑점 수, 과학실험실에서의 실험 및 관측 자료 등과 같이 

연도별, 계절별, 월별, 일별 또는 보다 작은 시간대로서 시.분.초별로 시간의 흐름에 따라 순서대로 관측되므로 시간의 영향을 받게 된다.

 

이와 같이 시간에 따라 관측된 자료를 시계열(Time Series)라고 한다.

 

시계열자료의 분석에서는 관측시점과 관측시점들 사이의 간격인 시차(Time Lag)가 중요한 역할을 하므로 시계열 자료는 일반적으로 시간 t를 이용하여 다음과 같이 표현한다.

 

스크린샷 2020-07-15 오전 1.14.59.png으로 표현.

 

스크린샷 2020-07-15 오전 1.17.11.png

[SAS CODE]

data c1;
  do t=1 to 100;
    z=5000+20*rannor(1234); 
    output;
  end; run;
data fig1_1;
  set fig1_1;
  date=intnx('month', '1jan80'd,_n_-1);
  format date monyy.; run;
proc sgplot;
  series x=date y=z;
  refline 5000/ axis=y; run;

rannor(seed) : 정규분포로부터 난수를 생성한다.

intnx(interval, from, n) : 특정한 날짜(from)로부터 n만큼의 시간간격(interval)에 해당하는 날짜값을 계산. 

_n_ : data 단계가 몇번이나 수행되었는지를 알려주는 변수로서 관측값의 수를 나타냄.

refline: 기준선 표시

 

[Plot]

스크린샷 2020-07-14 오후 8.10.07.png

 

 

 

Stochastic Process_ 확률과정

정의: 확률법칙(probability laws)에 의해 생성되는 일련의 통계적인 현상.

 

스크린샷 2020-07-15 오전 1.18.46.png:  특정한 확률과정의 실현된 값.

 

위 시계열 자료를 생성시킨 확률과정의 모형은 어떤 모형일까? 라는 의문이 생긴다.

가능한 시계열 모형은 무수히 많다. -> 무수히 많은 모형 중 특정한 성질을 가진 일부반을 고려하자! 정상성

 

Stationary(정상성,안정성) : 미래는 과거와 확률적으로 동일함을 나타내는 개념으로 평균, 분산 등에 체계적인 변화가 없고 주기적인 변화도 없는 경우를 의미한다.

  • 뚜렷한 추세가 없다.
  • 시계열의 진폭(변동)이 시간의 흐름에 따라 일정하다. (=time invariant)

 

스크린샷 2020-07-15 오전 1.21.38.png

[SAS CODE]

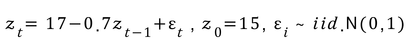
data aaa;
  z1=15;
  do t=1 to 100;
     a=rannor(139672);
     z=17-0.7*z1+a;
     z2=lag2(z);
     output;
     z1=z;
  end; run;
proc sgplot;
  series x=t y=z; 
  yaxis values=(6 to 14 by 2) label="Z(t)";  
  refline 10/ axis=y; run;

[Plot]

스크린샷 2020-07-14 오후 10.11.27.png

 

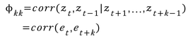
자기 공분산 함수, 장기상관함수 (Autocovariance and autocorrelation function; ACF)

*평균과 분산은 각각 상수로서, 시간 t에 관계없이 동일하다.

 

 스크린샷 2020-07-15 오전 1.24.55.png

  스크린샷 2020-07-15 오전 1.25.18.png

 

스크린샷 2020-07-15 오전 1.25.27.png

 

 

시차 0에서 부터 24까지의ACF,PACF,IACF

 

Partial Autocovarience function; PACF _ 부분자기상관함수

​x와 y의 순수한 상관관계를 구하기 위해서 x와 y에서의 시간의 효과를 제거한 후의 상관계수

 

 스크린샷 2020-07-15 오전 1.29.52.png

 

[SAS CODE]

data ch2_3;
  z1=15;
  do t=1 to 100;
     a=rannor(139672);
     z=17-0.7*z1+a;
     z2=lag2(z);
     output;
     z1=z;
  end; run;

proc arima;
  identify var=z nlag=24; run; 

 [Plot]

스크린샷 2020-07-14 오후 10.40.23.png

 

 

 

 

Comments

좋은 정보 감사합니다. 

Contributors
Version history
Last update:
‎07-14-2020 08:10 PM
Updated by:

sas-innovate-2026-white.png



April 27 – 30 | Gaylord Texan | Grapevine, Texas

Registration is open

Walk in ready to learn. Walk out ready to deliver. This is the data and AI conference you can't afford to miss.
Register now and lock in 2025 pricing—just $495!

Register now

Article Labels
Article Tags