this is my code:
/*
Yes.Switch into PROC SGPANEL to manipulate more .
*/
data have;
 set sashelp.heart(obs=1000);
 keep bp_status weight;
run;
proc sort data=have;by bp_status;run;
proc summary data=have ;
by bp_status;
var weight;
output out=summary n=n min=min max=max median=median mean=mean mode=mode std=std;
run;
data want;
 inb=0;
 merge have summary(in=inb);
 by bp_status;
 if not inb then call missing(n,min,max,median,mean,mode,std);
 label n="maht" min="miinimum" max="maksimum" Median ="mediaan" MEAN = "keskmine" MODE = "mood" STD = "standardhälve";
run;
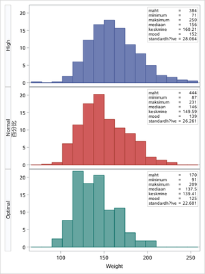
proc sgpanel data=want noautolegend;
panelby bp_status/layout=rowlattice novarname onepanel ROWHEADERPOS=left;
histogram weight/group=bp_status;
inset n min  max  Median MEAN   MODE  STD /border position=ne separator='=' ;
run;
Go here: https://blogs.sas.com/content/?s=histogram+color
You will find (among others) this:
Histogram with Gradient Color 
By Sanjay Matange on Graphically Speaking November 30, 2015
https://blogs.sas.com/content/graphicallyspeaking/2015/11/30/7180/
BR,
Koen
/*
Yes.Switch into PROC SGPANEL to manipulate more .
*/
data have;
 set sashelp.heart(obs=1000);
 keep bp_status weight;
run;
proc sort data=have;by bp_status;run;
proc summary data=have ;
by bp_status;
var weight;
output out=summary n=n min=min max=max median=median mean=mean mode=mode std=std;
run;
data want;
 inb=0;
 merge have summary(in=inb);
 by bp_status;
 if not inb then call missing(n,min,max,median,mean,mode,std);
 label n="maht" min="miinimum" max="maksimum" Median ="mediaan" MEAN = "keskmine" MODE = "mood" STD = "standardhälve";
run;
proc sgpanel data=want noautolegend;
panelby bp_status/layout=rowlattice novarname onepanel ROWHEADERPOS=left;
histogram weight/group=bp_status;
inset n min  max  Median MEAN   MODE  STD /border position=ne separator='=' ;
run;
It's finally time to hack! Remember to visit the SAS Hacker's Hub regularly for news and updates.
Learn how use the CAT functions in SAS to join values from multiple variables into a single value.
Find more tutorials on the SAS Users YouTube channel.
Ready to level-up your skills? Choose your own adventure.
