BookmarkSubscribeRSS Feed
🔒 This topic is solved and locked. Need further help from the community? Please sign in and ask a new question.
xyxu
Quartz | Level 8

I have a dataset that includes each project's initial date and initial cost, as well as the date and amount of cash flows:

 

data have;
	input project $1. date_initial :yymmdd10. date_cf :yymmdd10. cf cost_initial 5.;
	format date_initial date_cf yymmdd10.;
	datalines;
A 2004-08-25 2005-03-23 3 30
A 2004-08-25 2005-06-20 4 30
A 2004-08-25 2005-09-25 6 30
A 2004-08-25 2005-12-23 4 30
A 2004-08-25 2006-04-05 7 30
A 2004-08-25 2006-07-05 8 30
B 2007-06-27 2008-01-22 4 45
B 2007-06-27 2008-04-21 6 45
B 2007-06-27 2008-07-21 7 45
B 2007-06-27 2008-10-20 8 45
B 2007-06-27 2009-01-20 9 45
B 2007-06-27 2009-04-20 10 45
B 2007-06-27 2009-07-20 12 45
B 2007-06-27 2009-11-05 11 45
B 2007-06-27 2010-02-22 9 45
;
run;

I want to compute the internal rate of return (IRR) for each project and each observation. That is, after each cash flow, I want an updated IRR at the cash flow date. The IRR at the date of cash flow n is the solution of 

xyxu_0-1605196832600.png

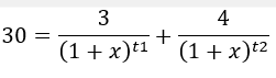
where t is the time between the initial date and the date of a cash flow. For example, the IRR for the 2nd observation should solve

xyxu_0-1605215471073.png

and 

t1 = intck('day', '25aug2004'd, '23mar2005'd) / 365

t2 = intck('day', '25aug2004'd, '30jun2005'd) / 365

As the cash flow dates are not strictly quarterly, SAS IRR function (which requires a constant frequency) does not seem to work in this case. 

 

1 ACCEPTED SOLUTION

Accepted Solutions
hhinohar
Quartz | Level 8

>I want the output to be similar to dataset "have", but includes an additional variable as the IRR computed for each observation, >using all cash flows to the project_id up to the date_cf

 

Based on your query, below might be what you are expecting but I can't tell since there is no firm description of how you want your output to be like.
I hope you clarify it first.

data want;
infile datalines dlm="09"x;
input project $1. date_initial :yymmdd10. date_cf :yymmdd10. cf cost_initial r;
datalines;
1	A	2004-08-25	2005-03-23	3	30	-0.981723006	
2	A	2004-08-25	2005-06-20	4	30	-0.864252017	
3	A	2004-08-25	2005-09-25	6	30	-0.603330209	
4	A	2004-08-25	2005-12-23	4	30	-0.430594664	
5	A	2004-08-25	2006-04-05	7	30	-0.171907236	
6	A	2004-08-25	2006-07-05	8	30	0.0493847285	
7	B	2007-06-27	2008-01-22	4	45	-0.985403284	
8	B	2007-06-27	2008-04-21	6	45	-0.870849089	
9	B	2007-06-27	2008-07-21	7	45	-0.667472842	
10	B	2007-06-27	2008-10-20	8	45	-0.435187718	
11	B	2007-06-27	2009-01-20	9	45	-0.212882285	
12	B	2007-06-27	2009-04-20	10	45	-0.017025432	
13	B	2007-06-27	2009-07-20	12	45	0.1624599799	
14	B	2007-06-27	2009-11-05	11	45	0.2868471891	
15	B	2007-06-27	2010-02-22	9	45	0.3659270159	
;
run;

>To use the finance function, it seems that I need to create many variables that contain the value of previous cash flows, so that >I can call the function for every observation. One concern is that each observation corresponds to different number of cash >flows. Is there any good way to achieve this?

 

One idea would be to use array statement to generate multiple variables and do running irr calculation for every observation in a do loop along with _N_ automatic variable.
Again, this is a sample code based on my understanding stated above.

 

data have;
	input project $1. date_initial :yymmdd10. date_cf :yymmdd10. cf cost_initial 5.;
	format date_initial date_cf yymmdd10.;
	datalines;
A 2004-08-25 2005-03-23 3 30
A 2004-08-25 2005-06-20 4 30
A 2004-08-25 2005-09-25 6 30
A 2004-08-25 2005-12-23 4 30
A 2004-08-25 2006-04-05 7 30
A 2004-08-25 2006-07-05 8 30
B 2007-06-27 2008-01-22 4 45
B 2007-06-27 2008-04-21 6 45
B 2007-06-27 2008-07-21 7 45
B 2007-06-27 2008-10-20 8 45
B 2007-06-27 2009-01-20 9 45
B 2007-06-27 2009-04-20 10 45
B 2007-06-27 2009-07-20 12 45
B 2007-06-27 2009-11-05 11 45
B 2007-06-27 2010-02-22 9 45
;
run;

data want;
	do _N_=1 by 1 until(last.project);
		set have;
		by project;
		*generate date_cf by observation;
		array _date_cf[365] ;
		*generate _cf by observation;
		array _cf[365];
		*assign date_cf variable value one by one by observation;
		_date_cf[_N_]=date_cf;
		*assign _cf variable value one by one by observation;
		_cf[_N_]=cf;
		*assign 0 if variables have missing values;
		do i=1 to dim(_date_cf);
			if missing(_date_cf[i]) then _date_cf[i]=0;
			if missing(_cf[i]) then _cf[i]=0;
		end;
		*calculate irr;
		r_byproject=finance('xirr', -cost_initial, of _cf[*], date_initial, of _date_cf[*]);
		output;
	end;
	drop i _:;
run;

View solution in original post

7 REPLIES 7
xyxu
Quartz | Level 8
Added more details for the problem. Any suggestions?
hhinohar
Quartz | Level 8

There is a finance function that matches your need.
https://documentation.sas.com/?cdcId=pgmsascdc&cdcVersion=9.4_3.5&docsetId=lefunctionsref&docsetTarg...

However, I'm more curious as to how you want your output to be like.
Is it detailed in the query?

xyxu
Quartz | Level 8

I want the output to be similar to dataset "have", but includes an additional variable as the IRR computed for each observation, using all cash flows to the project_id up to the date_cf.

To use the finance function, it seems that I need to create many variables that contain the value of previous cash flows, so that I can call the function for every observation. One concern is that each observation corresponds to different number of cash flows. Is there any good way to achieve this?


hhinohar
Quartz | Level 8

>I want the output to be similar to dataset "have", but includes an additional variable as the IRR computed for each observation, >using all cash flows to the project_id up to the date_cf

 

Based on your query, below might be what you are expecting but I can't tell since there is no firm description of how you want your output to be like.
I hope you clarify it first.

data want;
infile datalines dlm="09"x;
input project $1. date_initial :yymmdd10. date_cf :yymmdd10. cf cost_initial r;
datalines;
1	A	2004-08-25	2005-03-23	3	30	-0.981723006	
2	A	2004-08-25	2005-06-20	4	30	-0.864252017	
3	A	2004-08-25	2005-09-25	6	30	-0.603330209	
4	A	2004-08-25	2005-12-23	4	30	-0.430594664	
5	A	2004-08-25	2006-04-05	7	30	-0.171907236	
6	A	2004-08-25	2006-07-05	8	30	0.0493847285	
7	B	2007-06-27	2008-01-22	4	45	-0.985403284	
8	B	2007-06-27	2008-04-21	6	45	-0.870849089	
9	B	2007-06-27	2008-07-21	7	45	-0.667472842	
10	B	2007-06-27	2008-10-20	8	45	-0.435187718	
11	B	2007-06-27	2009-01-20	9	45	-0.212882285	
12	B	2007-06-27	2009-04-20	10	45	-0.017025432	
13	B	2007-06-27	2009-07-20	12	45	0.1624599799	
14	B	2007-06-27	2009-11-05	11	45	0.2868471891	
15	B	2007-06-27	2010-02-22	9	45	0.3659270159	
;
run;

>To use the finance function, it seems that I need to create many variables that contain the value of previous cash flows, so that >I can call the function for every observation. One concern is that each observation corresponds to different number of cash >flows. Is there any good way to achieve this?

 

One idea would be to use array statement to generate multiple variables and do running irr calculation for every observation in a do loop along with _N_ automatic variable.
Again, this is a sample code based on my understanding stated above.

 

data have;
	input project $1. date_initial :yymmdd10. date_cf :yymmdd10. cf cost_initial 5.;
	format date_initial date_cf yymmdd10.;
	datalines;
A 2004-08-25 2005-03-23 3 30
A 2004-08-25 2005-06-20 4 30
A 2004-08-25 2005-09-25 6 30
A 2004-08-25 2005-12-23 4 30
A 2004-08-25 2006-04-05 7 30
A 2004-08-25 2006-07-05 8 30
B 2007-06-27 2008-01-22 4 45
B 2007-06-27 2008-04-21 6 45
B 2007-06-27 2008-07-21 7 45
B 2007-06-27 2008-10-20 8 45
B 2007-06-27 2009-01-20 9 45
B 2007-06-27 2009-04-20 10 45
B 2007-06-27 2009-07-20 12 45
B 2007-06-27 2009-11-05 11 45
B 2007-06-27 2010-02-22 9 45
;
run;

data want;
	do _N_=1 by 1 until(last.project);
		set have;
		by project;
		*generate date_cf by observation;
		array _date_cf[365] ;
		*generate _cf by observation;
		array _cf[365];
		*assign date_cf variable value one by one by observation;
		_date_cf[_N_]=date_cf;
		*assign _cf variable value one by one by observation;
		_cf[_N_]=cf;
		*assign 0 if variables have missing values;
		do i=1 to dim(_date_cf);
			if missing(_date_cf[i]) then _date_cf[i]=0;
			if missing(_cf[i]) then _cf[i]=0;
		end;
		*calculate irr;
		r_byproject=finance('xirr', -cost_initial, of _cf[*], date_initial, of _date_cf[*]);
		output;
	end;
	drop i _:;
run;
xyxu
Quartz | Level 8

This works! 

Is the number 365 arbitrarily chosen, just to be large enough?

hhinohar
Quartz | Level 8

>Is the number 365 arbitrarily chosen, just to be large enough?

It is chosen.I thought there might be a situation to generate variables for a whole year.

 

xyxu
Quartz | Level 8
I see. Since we have a date for each cash flow, the IRR function should take care of timing issues and give us an annulized rate, regardless of how many years are involved.

sas-innovate-2026-white.png



April 27 – 30 | Gaylord Texan | Grapevine, Texas

Registration is open

Walk in ready to learn. Walk out ready to deliver. This is the data and AI conference you can't afford to miss.
Register now and save with the early bird rate—just $795!

Register now

How to Concatenate Values

Learn how use the CAT functions in SAS to join values from multiple variables into a single value.

Find more tutorials on the SAS Users YouTube channel.

SAS Training: Just a Click Away

 Ready to level-up your skills? Choose your own adventure.

Browse our catalog!

Discussion stats
  • 7 replies
  • 2560 views
  • 2 likes
  • 2 in conversation