BookmarkSubscribeRSS Feed

Overlaying the Future: The Mechanics of BEP Overlay Models

Started ‎12-23-2025 by
Modified ‎12-23-2025 by
Views 314

Business Evolution Plans (BEPs) form one of the most critical foundations of enterprise stress testing. They describe how portfolios evolve over time by projecting exposures, balances, and business volumes under various economic environments. These projections flow directly into Expected Credit Loss (ECL) models, capital planning engines, liquidity simulations, and enterprise risk scorecards. In this sense, a BEP is a structured narrative of how the institution expects its business to transform under baseline, adverse, and severe conditions.

 

However, financial institutions increasingly face the challenge of keeping these BEPs relevant as conditions change. Macro trends evolve quickly, business strategies are redefined frequently, and regulators often modify expectations, forcing institutions to refresh projections more rapidly than traditional BEP frameworks can accommodate.

 

Rebuilding a full BEP from scratch is often computationally expensive and operationally inefficient. It is precisely this challenge that creates the need for BEP overlay models – mechanisms designed to transform an existing BEP into a new, updated version based on revised scenarios or parameter sets, without re-running the entire BEP engine or without sacrificing traceability or governance.

 

 

Overview of the BEP Overlay Process

 

A BEP overlay model operates by looping through each scenario in the original BEP, extracting the relevant scenario information, collecting static and horizon-varying parameters, and applying the overlay logic that adjusts original BEP projections. The result is a scenario-specific, refreshed BEP projection set, which is then appended to produce the final overlaid BEP.

 

The structure of the data supporting this transformation is central to how the model behaves. The input BEP projections typically contain a composite key (the target variable combined with relevant segmentation variables) and a series of projected values across horizons, such as T0, T1, T2, and so on. An example record may show the evolution of Unpaid Balance Amount (UNPAID_BALANCE_AMT) for Corporate or Retail segments.

 

Scenario datasets contain time-varying economic indicators, such as interest rates or GDP, represented with the same horizon structure. Parameter datasets provide another layer of modelling input. Static parameters remain constant across time, whereas horizon-varying parameters fluctuate across horizons and influence how aggressively the transformation adjusts the original BEP trajectory.

 

01_SoumitraDas_bl07_2025_01_BEP_Data.png

Select any image to see a larger version.
Mobile users: To view the images, select the "Full" version at the bottom of the page.

 

The screenshot above displays a sample BEP from the SAS Stress Testing solution. The Horizon-0 represents the externally specified constant. All subsequent horizon values evolve only from this fixed starting point, using growth/run-off rates, macro sensitivities, and overlays.

 

In the BEP overlay model, the idea of FIXED initialization has a very precise and limited role. It applies only at the starting point, before overlay equation begins to operate. This is exactly why regulators are comfortable with BEP overlay models: the starting balance is observable and fixed, while the macro sensitivity is explicit and controlled.

 

 

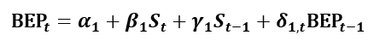
How BEP Overlays Are Calculated in Practice

 

At the heart of the overlay transformation is the mathematical formulation used to compute the revised BEP projections. Although institutions may adopt different formulations based on their stress testing philosophy, a representative overlay equation can be expressed as:

 

02_SoumitraDas_bl07_2025_05b_BEP_Equation.png

 

where:

 

α1 is a baseline level of exposure (structural intercept reflecting steady-state balance behavior). This term ensures the model has a base level even if scenario shocks are zero.

 

β1 represents the immediate effect of the current shock factor St on unpaid balances (e.g., downturn increasing delinquency balances).

 

γ1 captures the lagged macro sensitivity to the shock factor, since effects on unpaid balances do not roll off easily and are spread over multiple periods.

 

δ1,t is a horizon specific parameter that governs exposure persistence – the extent to which the previous period’s BEP balance influences the current period. This makes it part of an AR(1) process.

 

Note: We can drop subscript 1 and use a more generic specification with only t and t-1. However, in SAS Stress Testing solution, the BEP overlay formulation uses subscripts 1 or 2 for parameters associated with different instrument types – some instruments’ unpaid balances evolve based on the parameter set indexed by 1, while others use the one indexed by 2.

 

 

Two common interpretations of BEPt-1

 

  • Use the original BEP values at t−1: In this interpretation, the overlay reads the baseline BEP for all t−1 references. This is sometimes done when you want overlays to be additive to the original baseline (non-recursive).
  • Use the most recently computed BEP at t−1: In this interpretation the code updates BEP in place and therefore the right-hand side for t uses the already-updated t−1 value. This makes the process recursive. The representative overlay equation presented earlier is written as a forward loop and updating BEP in place, and hence, this interpretation is what happens by default.

 

To demonstrate how the overlay works numerically, consider an example for the target variable UNPAID_BALANCE_AMT. Suppose the original BEP value at T0 is given as:

 

03_SoumitraDas_bl07_2025_06_Unpaid_Balance_T0.png

 

Let the static parameters be:

 

04_SoumitraDas_bl07_2025_02_BEP_Static_Parameters-300x215.png

 

and let the horizon parameters δ have the following sequence of values:

 

05_SoumitraDas_bl07_2025_03_2_BEP_Horizon_Parameter.png

 

 

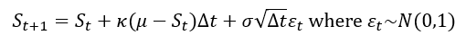
Shock-Factor Simulation Using a Vasicek Framework

 

The shock-factor horizon values for a specific scenario used in this example are:

 

06_SoumitraDas_bl07_2025_07_Shock_Factors.png

 

Although static shock-factor values have been used in the present example, in reality key macroeconomic and risk drivers in the SAS Stress Testing solution, such as GDP and a shock-factor, are modeled using a Vasicek mean-reverting process. Scenario differentiation is achieved through parameter calibration rather than changes in model structure.

 

07_SoumitraDas_bl07_2025_04a_BEP_Stochastic_Specifications.png

 

The Vasicek process for Shock-factor (St) can be defined as:

 

08_SoumitraDas_bl07_2025_08_Vasicek.png

 

where κ denotes the mean-reversion rate, μ the long-run mean, and σ the volatility of the process.

 

The parameter values for the adverse scenario (as shown in the screenshot above) are:

 

  1. GDP: κ=0.91, μ=0, σ = 107.
    • A mean reversion rate of 0.91 implies that 91% of any deviation from trend is pulled back each period (for Δt=1). After a sharp downturn, GDP is assumed to recover quickly toward its long-run level, even under stress.
    • The Long-run mean at zero implies that stress is modeled as temporary dislocation, not permanent stagnation.
    • σ=107 implies very wide dispersion of GDP paths. Even with strong mean reversion, one-period shocks can be large and abrupt.
  2. Shock-factor: κ=0.79, μ=0, σ=0.14
    • Mean reversion is weaker than GDP. Shocks persist longer before fading. This factor captures secondary stresses that linger beyond the main macro cycle.
    • Zero long-run mean shocks are temporary distortions and not regime shifts.
    • σ=0.14 implies small, controlled fluctuations.

 

These parameterizations imply that GDP is subject to large but transitory deviations from its long-run equilibrium, while the shock-factor evolves more smoothly and captures secondary systemic effects. Together they prevent unrealistic one-period collapse and overly smooth recoveries. The Vasicek-driven macro paths do not alter the BEP itself; instead, they act as scenario-specific overlays that condition risk parameters around the BEP-implied portfolio state.

 

 

The Updated BEP Calculations

 

Using the transformation formula, the updated BEP for T0, T1, T2, T3 becomes:

 

09_SoumitraDas_bl07_2025_09_BEP_Updated.png

 

When similar calculations are applied to all target variables, all segments, and all scenarios, the complete overlaid BEP is constructed.

 

 

Additional Information

 

For more information on SAS Stress Testing visit the software information page here. For more information on curated learnings paths on SAS Solutions and SAS Viya, visit the SAS Training page. You can also browse the catalog of SAS courses here.

 

 

Find more articles from SAS Global Enablement and Learning here.

Contributors
Version history
Last update:
‎12-23-2025 03:16 PM
Updated by:

Catch up on SAS Innovate 2026

Dive into keynotes, announcements and breakthroughs on demand.

Explore Now →

SAS AI and Machine Learning Courses

The rapid growth of AI technologies is driving an AI skills gap and demand for AI talent. Ready to grow your AI literacy? SAS offers free ways to get started for beginners, business leaders, and analytics professionals of all skill levels. Your future self will thank you.

Get started

Article Labels