BookmarkSubscribeRSS Feed

[Mixed Model 4.1.2] Analysis of Covariance with Random Effects

Started ‎06-18-2020 by
Modified ‎06-18-2020 by
Views 626

[Mixed Model 4.1.2] Analysis of Covariance with Random Effects

 

 

안녕하세요^^

이번시간에는 앞서 소개한 자료를 이용하여 공분산분석을 해보겠습니다.

 

 

▶ 목차

 

 

▷ 공분산분석 모형적합

 

 

 

▶ 공분산분석 모형적합

 

‘wafer4’ 데이터를 이용하여 ANCOVA model을 적합시키도록 하겠습니다.

 

 

 

▷ 데이터 분석

 

주어진 데이터는 다음과 같은 구성입니다.

 

 

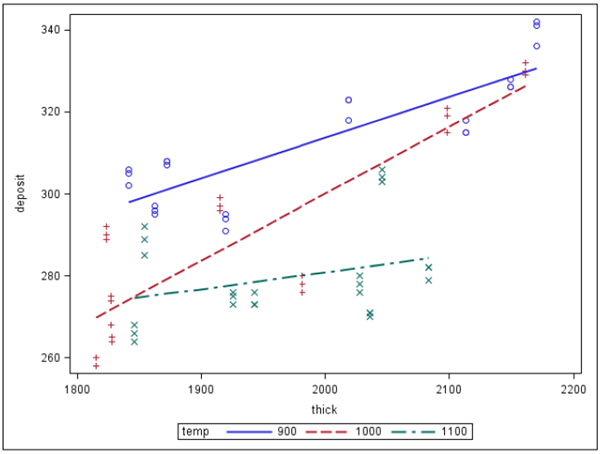
다운로드 - 2020-06-18T142542.947.png

 

그래프가 우상향 하는 것으로 보아 3개의 온도 모두에서 퇴적 속도(deposit)와 웨이퍼의 두께(thick) 사이에 양의 관계가 있는 것으로 보입니다.

 

또한 온도 900에서의 그래프가 가장 위에 있는 것으로 보아 평균적으로 온도 900에서의 퇴적 속도는 데이터 범위 내의 다른 온도에서의 퇴적 속도보다 높게 보입니다.

각 온도에서의 기울기가 동일하지 않은 것으로 보입니다.

 

 

다운로드 - 2020-06-18T142544.044.png

 

작업 분산분석 – 혼합모형

 

[고정효과모형(Fixed Effects Model)] 대화상자

MIXED 절차에서 설명한 ANCOVA Model을 구현하기 위해 다운로드 - 2020-06-18T142545.186.png에 대한 temp, 다운로드 - 2020-06-18T142546.066.png에 대한 thick, 다운로드 - 2020-06-18T142546.907.png에 대한 thick*temp를 지정합니다.

 

[고정효과모형옵션(Fixed Effects Model Options)] 대화상자

모수 추정값 표시(show parameter estimates) 대화상자를 클릭하여 분석결과가 생성되도록 합니다.

 

[임의효과(Random Effects)] 대화상자

추정할 임의효과로 wafer(temp), 즉, wafer*temp 항을 추가합니다.

 

 

 

분석 결과는 다음과 같이 주어집니다.

 

다운로드 - 2020-06-18T142548.258.png

 

변수 thick는 연속형변수이기 때문에, class를 나타내는 테이블에서는 제외됩니다.

 

다운로드 - 2020-06-18T142549.258.png

 

추정된 웨이퍼 간 분산은 132.54이고, 잔차 분산(위치 간 분산)은 4.1944입니다.

 

다운로드 - 2020-06-18T142550.651.png

 

SOLUTION 옵션은 고정효과(fixed effect) 모수에 대한 추정치를 생성합니다.

 

이것은 과모수화된(overparameterized) 모형이기 때문에, PROC MIXED는 temp와 thick*temp의 마지막 수준의 추정치를 0으로 설정합니다.

 

 

[온도(temp)]

절편(intercept)은 그룹변수의 마지막 수준(이 경우, temp=1100)에 대응하며, 온도 1100에 대한 추정된 절편의 회귀계수는 199.07입니다.

 

- 온도 900의 추정치는 다운로드 - 2020-06-18T142551.658.png에 해당합니다.

  이 값은 온도 900과 온도 1100의 절편 회귀계수의 차이이므로, 온도 900의 절편의 회귀계수는 114.40(=199.07-84.6703)입니다.

  그러나 유의하지 않은 p-value는 이 두 개의 절편의 계수가 서로 다르지 않다는 것을 의미합니다.

 

- 온도 1000의 추정치는 다운로드 - 2020-06-18T142553.297.png에 해당합니다.

  이 값은 온도 1000과 온도 1100의 절편 회귀계수의 차이이므로, 온도 1000의 절편 회귀계수는 -26.73(=199.07-225.80)입니다.

  ​이 때 유의한 p-value는 이 두 개의 절편의 계수가 서로 다를 수 있음을 의미합니다.

  

 

[두께(thick)]

​- 두께의 추정치는 그룹변수의 마지막 수준(이 경우, temp=1100)의 기울기에 대응합니다.

​- 온도 1100의 예상 기울기는 0.04091입니다.

 

  

[두께*온도(thick*temp)]

- 두께와 온도 900의 추정치는 온도 900과 온도 1100의 기울기 계수 간 차이에 해당합니다.

- 온도 900의 기울기는 0.0997(=0.04091+0.05879)입니다.

- 이 때의 유의하지 않은 p-value는 이 두 기울기의 계수가 서로 다르지 않다는 것을 의미합니다.

- 두께와 온도 1000의 추정치는 온도 1000과 온도 1100의 기울기 계수 간 차이에 해당합니다.

- 온도 1000의 기울기는 0.1634(=0.04091+0.1225)입니다.

- 이 때의 유의한 p-value는 이 두 기울기의 계수가 서로 다르다는 것을 의미합니다.

 

 

 

따라서 세 개의 모형식은 다음과 같이 정리할 수 있습니다.

 

 

다운로드 - 2020-06-18T142554.394.png

 

다운로드 - 2020-06-18T142555.371.png

 

다운로드 - 2020-06-18T142556.346.png

 

 

 

다운로드 - 2020-06-18T142557.290.png

 

Type III test 결과를 살펴봅니다.

 

Thick*temp의 검정은 서로 다른 온도(temp)에서의 두께(thick)의 다른 효과에 대응합니다.

달리 말하면, 3개의 온도 수준에서의 기울기가 모두 동일한지 검정합니다.

유의하지 않은 p-value(0.1155)는 유의수준 0.05에서 3개의 기울기가 유의하게 차이나지 않는다는 것을 의미합니다.

즉, 기울기가 같지 않은 모형을 적합하는 것이 옳다는 충분한 증거가 없음을 나타냅니다.

 

 

그러나 Solutions for Fixed Effects Table에서 온도 1000과 온도 1100 사이의 기울기가 유의하게 차이남을 보였습니다.

따라서 이러한 경우 그래프를 그려보고 결정하는 것이 좋습니다.

 

 

 

 

다음 시간에는 위의 예제에서 마지막에 다룬 논의사항을 더 자세히 다뤄보겠습니다.

즉, 그래프를 그려본 뒤 세 개의 기울기가 같다는 가정하에서의 ANCOVA 분석을 시행하겠습니다.

감사합니다.

 

 

[출처]

- ‘Applied Mixed Models for Processors Course Notes’

 

 

Contributors
Version history
Last update:
‎06-18-2020 02:34 AM
Updated by:

sas-innovate-2026-white.png



April 27 – 30 | Gaylord Texan | Grapevine, Texas

Registration is open

Walk in ready to learn. Walk out ready to deliver. This is the data and AI conference you can't afford to miss.
Register now and lock in 2025 pricing—just $495!

Register now

Article Labels
Article Tags